【药物名称】Tandospirone citrate, SM-3997, Sediel
化学结构式(Chemical Structure):
参考文献No.41911
标题:Succimide derivatives, compositions and method of use
作者:Ishizumi, K.; Antoku, F.; Asami, Y. (Sumitomo Chemical Co., Ltd.)
来源:CA 1184915; EP 0082402
合成路线图解说明:

The cyclization of methyl 3-[4-(4-methoxybenzoylamino)-3-nitrobenzoyl]butyrate (I) with hydrazine hydrate in refluxing acetic acid gives 4,5-dihydro-6-[4-(4-methoxybenzoylamino)-3-nitrobenzoyl]-5-methylpyridazin-3(2H)-one (II), which is reduced with H2 over Pd/C in ethanol yielding the corresponding amino derivative (III). Finally, this compound is cyclized in refluxing acetic acid.

合成路线图解说明:

By condensation of norbornane-2,3-di-endo-carboxylic anhydride (I) with 1-(4-aminobutyl)-4-(2 pyrimidinyl)piperazine (II) in refluxing pyridine.

参考文献No.53048
标题:SM-3997
作者:Casta馿r, J.; Prous, J.
来源:Drugs Fut 1986,11(11),949
合成路线图解说明:

By condensation of norbornane-2,3-di-endo-carboxylic anhydride (I) with 1-(4-aminobutyl)-4-(2 pyrimidinyl)piperazine (II) in refluxing pyridine.

参考文献No.170336
标题:Synthesis and anxiolytic activity of N-substituted cyclic imides (1R*,2S*,3R*,4S*)-N-[4-[4-(2-pyrimidinyl)-1-piperazinyl]butyl]-2,3-bicyclo[2.2.1]heptanedicarboximide (tandospirone) and related compounds
作者:Ishizumi, K.; Kojima, A.; Antoku, F.
来源:Chem Pharm Bull 1991,39(9),2288
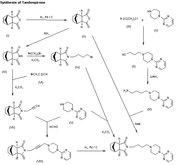
合成路线图解说明:

New syntheses of tandospirone have been described: 1) The hydrogenation of bicyclo[2.2.1]hept-5-ene-2,3-di-exo-carboxylic acid anhydride (I) with H2 over Pd/C in THF-water gives bicyclo[2.2.1]heptane-2,3-di-exo-carboxylic acid anhydride (II), which by reaction with ammonia in THF-water is converted into the imide (III). The reaction of (III) with 1,4-dibromobutane by means of K2CO3 in refluxing acetone yields N-(4-bromobutyl)bicyclo[2.2.1]heptane-2,3-di-exo-carboximide (IV), which is finally condensed with 1-(2-pyrimidinyl)piperazine (V) by means of K2CO3 and KI in hot DMF. 2) Imide (III) is condensed with propargyl bromide (VI) by means of K2CO3 in refluxing acetone affording N-propargylbicyclo[2.2.1]heptane-2,3-di-exo-carboximide (VII), which is allowed to react with piperazine (V) and formaldehyde by means of CuSO4 in dioxane to give N-[4-[4-(2-pyrimidinyl)piperazin-1-yl]-2-butynyl]bicyclo[2.2.1]heptane-2,3-di-exo-carboximide (VIII). Finally, this compound is reduced with H2 over Pd/C. 3) The condensation of piperazine (V) with 4-chlorobutyronitrile (IX) by means of NaOH in acetone gives 4-[4-(2-pyrimidinyl)piperazin-1-yl]butyronitrile (X), which is reduced with LiAlH4 in ether yielding 1-(4-aminobutyl)-4-(2-pyrimidinyl)piperazine (XI). Finally, this compound is condensed with anhydride (II) in refluxing pyridine.

参考文献No.181224
标题:14C-labeling of a novel anxiolytic agent tandospirone
作者:Kanamaru, H.; Nishioka, K.
来源:J Label Compd Radiopharm 1992,31(6),427
合成路线图解说明:

The synthesis of SM-3997 labeled in the carbonyl groups or the pyrimidine ring has been reported: The Diels-Alder condensation of cyclopentadiene (II) with [14C]-labeled maleic anhydride (I) gives bicyclo[2.2.1]hept-5-ene-2,3-endo-di[14C]-carboxylic anhydride (III), which by treatment with ammonia in THF is converted to the corresponding imide (IV endo). Heating of (IV endo) at 190 C in diphenylether affords the corresponding exo isomer (IV exo), which is hydrogenated with H2 over Pd/C in ethanol - THF to give the saturated exo-imide (V). The condensation of (V) with 1,4-dibromobutane (VI) by means of K2CO3 in refluxing acetone yields the N-(4-bromobutyl)imide (VII), which is finally condensed with 1-(2-pyrimidinyl)piperazine (VIII) by means of K2CO3 and KI in hot DMF to afford SM-399 [14C]-labeled at the carbonyl groups.

合成路线图解说明:

The condensation of piperazine (I) with [14C]-labeled 2-chloropyrimidine (II) in refluxing ethanol gives the labeled 1-(2-pyrimidinyl)piperazine (III), which is then condensed with the N-(4-bromobutyl)imide (IV) by means of K2CO3 and KI as before, affording SM-3997 labeled at the pyrimidine ring.

Drug Information Express,Drug R&D,Chemical Database,Patent Search.
Copyright © 2006-2026 Drug Future. All rights reserved.Contact Us