【药物名称】Org-6370
化学结构式(Chemical Structure):
参考文献No.79247
标题:ORG-6370
作者:Pento, J.T.
来源:Drugs Fut 1989,14(2),130
合成路线图解说明:

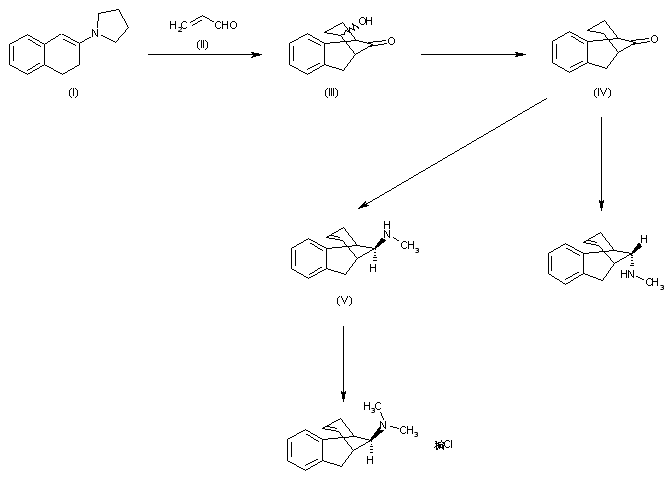
The synthesis of Org-6370 is carried out in eight steps as follows: The 5,9-methanobenzocyclooctene system is prepared from tetralonepyrrolidine enamine (I) and acrolein (II), giving a mixture of the epimeric 8-alcohols (III), which are dehydroxylated via the intermediate p-toluenesulfonate esters. The unsaturated 11-ketone (IV) is converted by a reductive amination process using methylamine and sodium borohydride to an epimeric mixture of 11-methylamines. At this stage the epimeric amines are separated by crystallization and the required (11S*)-compound (V) is further methylated and converted to the hydrochloride.

参考文献No.803922
标题:ORG-6370
作者:Timmer, C.J.; van der Waart, M.; Sam, A.P.; Sitsen, J.M.A.; de Graaf, J.S.; Redpath, J.
来源:London: Libbey (B.S. Meldrum and R.J. Porter (Eds.) 1986,
合成路线图解说明:

The synthesis of Org-6370 is carried out in eight steps as follows: The 5,9-methanobenzocyclooctene system is prepared from tetralonepyrrolidine enamine (I) and acrolein (II), giving a mixture of the epimeric 8-alcohols (III), which are dehydroxylated via the intermediate p-toluenesulfonate esters. The unsaturated 11-ketone (IV) is converted by a reductive amination process using methylamine and sodium borohydride to an epimeric mixture of 11-methylamines. At this stage the epimeric amines are separated by crystallization and the required (11S*)-compound (V) is further methylated and converted to the hydrochloride.

Drug Information Express,Drug R&D,Chemical Database,Patent Search.
Copyright © 2006-2026 Drug Future. All rights reserved.Contact Us