【药物名称】Dimoxaprost, HR-260, Hoe-260
化学结构式(Chemical Structure):
参考文献No.79459
标题:Dimoxaprost
作者:Beck, G.
来源:Drugs Fut 1987,12(12),1101
合成路线图解说明:

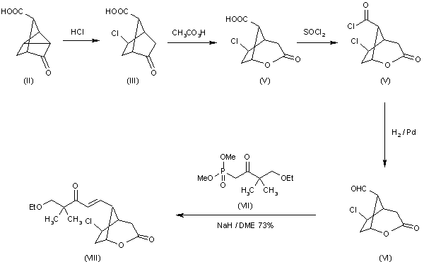
Synthesis of intermediate (VIII). The hydrochloration of 5-oxotricyclo[2.2.1.0~2,6~]heptane-3-carboxylic acid (II) gives 2-chloro-5-oxobicyclo[2.2.1]heptane-7-carboxylic acid (III), which is treated with peracetic acid yielding lactone (IV). This compound is treated with SOCl2 to obtain acyl chloride (V), which is converted into aldehyde (VI) by means H2 over Pd. The Horner-Emmons-Wiittig reaction of aldehyde (VI) and phosphonate (VII) by means NaH affords intermediate (VIII).

合成路线图解说明:

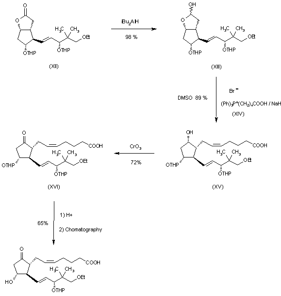
Synthesis of intermediate (XII). Ring cleavage and rearrangement of compound (VIII) affords enone (IXa) with an unprotected hydroxyl group. By stereoselective reduction of (IXa), diol (XIa) is obtained, which is finally protected by DHP to obtain intermediate (XII).

合成路线图解说明:

Intermediate (XII) is converted in four steps through the 獵orey synthesis?to Dimoxaprost.

参考文献No.803913
标题:
作者:J鋒ne, G.; Wess, G.; Bartmann, W.; Beck, G.; Lerch, U.
来源:Liebigs Ann Chem 1987,321-326
合成路线图解说明:

Synthesis of intermediate (VIII). The hydrochloration of 5-oxotricyclo[2.2.1.0~2,6~]heptane-3-carboxylic acid (II) gives 2-chloro-5-oxobicyclo[2.2.1]heptane-7-carboxylic acid (III), which is treated with peracetic acid yielding lactone (IV). This compound is treated with SOCl2 to obtain acyl chloride (V), which is converted into aldehyde (VI) by means H2 over Pd. The Horner-Emmons-Wiittig reaction of aldehyde (VI) and phosphonate (VII) by means NaH affords intermediate (VIII).

合成路线图解说明:

Synthesis of intermediate (XII). Ring cleavage and rearrangement of compound (VIII) affords enone (IXa) with an unprotected hydroxyl group. By stereoselective reduction of (IXa), diol (XIa) is obtained, which is finally protected by DHP to obtain intermediate (XII).

合成路线图解说明:

Intermediate (XII) is converted in four steps through the 獵orey synthesis?to Dimoxaprost.

参考文献No.803914
标题:
作者:Peel, R.; Sutherland, J.K.; Beeley, N.R.A.
来源:Tetrahedron 1981,37411
合成路线图解说明:

Synthesis of intermediate (VIII). The hydrochloration of 5-oxotricyclo[2.2.1.0~2,6~]heptane-3-carboxylic acid (II) gives 2-chloro-5-oxobicyclo[2.2.1]heptane-7-carboxylic acid (III), which is treated with peracetic acid yielding lactone (IV). This compound is treated with SOCl2 to obtain acyl chloride (V), which is converted into aldehyde (VI) by means H2 over Pd. The Horner-Emmons-Wiittig reaction of aldehyde (VI) and phosphonate (VII) by means NaH affords intermediate (VIII).

合成路线图解说明:

Synthesis of intermediate (XII). Ring cleavage and rearrangement of compound (VIII) affords enone (IXa) with an unprotected hydroxyl group. By stereoselective reduction of (IXa), diol (XIa) is obtained, which is finally protected by DHP to obtain intermediate (XII).

合成路线图解说明:

Intermediate (XII) is converted in four steps through the 獵orey synthesis?to Dimoxaprost.

Drug Information Express,Drug R&D,Chemical Database,Patent Search.
Copyright © 2006-2026 Drug Future. All rights reserved.Contact Us