【药物名称】Trandolapril, RU-44570, Preran, Mavik, Tarka(comb. with verapamil), Udrik, Gopten, Odrik
化学结构式(Chemical Structure):
参考文献No.3040
标题:Novel bicyclic amino acid derivs., process for their preparation and their use , as well as bicyclic amino acids as intermediates and process for their preparation
作者:Ubach, H.; Henning, R.; Teetz, V.; Geiger, R.; Becker, R.; Gaul, H. (Aventis SA)
来源:DE 3151690; EP 0084164; EP 0170775; JP 1989301659; JP 1989301695
合成路线图解说明:

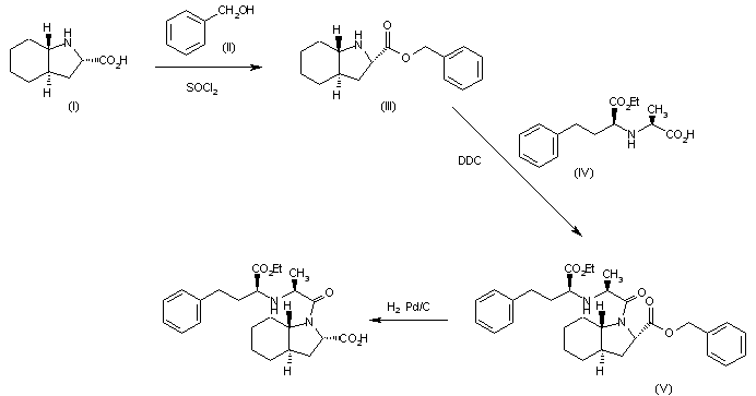
The esterification of (3aR,7aS)-octahydroindole-2(S)-carboxylic acid (I) with benzyl alcohol (II) by means of SOCl2 gives the corresponding benzyl ester (III), which is condensed with N-[1(S)-(ethoxycarbonyl)-3-phenylpropyl]-(S)-alanine (IV) by means of 1-hydroxybenzotriazole, N-ethylmorpholine and dicyclohexylcarbodiimide (DCC) in DMF giving the benzyl ester (V) of the desired product. Finally, this compound is debenzylated by hydrogenation with H2 over Pd/C in ethanol.

参考文献No.103336
标题:TRANDOLAPRIL < Rec INN >
作者:Prous, J.; Casta馿r, J.
来源:Drugs Fut 1989,14(8),778
合成路线图解说明:

The esterification of (3aR,7aS)-octahydroindole-2(S)-carboxylic acid (I) with benzyl alcohol (II) by means of SOCl2 gives the corresponding benzyl ester (III), which is condensed with N-[1(S)-(ethoxycarbonyl)-3-phenylpropyl]-(S)-alanine (IV) by means of 1-hydroxybenzotriazole, N-ethylmorpholine and dicyclohexylcarbodiimide (DCC) in DMF giving the benzyl ester (V) of the desired product. Finally, this compound is debenzylated by hydrogenation with H2 over Pd/C in ethanol.

Drug Information Express,Drug R&D,Chemical Database,Patent Search.
Copyright © 2006-2026 Drug Future. All rights reserved.Contact Us