【药物名称】ST-789, PCF-39
化学结构式(Chemical Structure):
参考文献No.53031
标题:PCF-39
作者:Stradi, R.; Cornaglia-Ferraris, P.; Perezzani, L.S.; Forni, G.; Riccardi, C.
来源:Drugs Fut 1987,12(2),134
合成路线图解说明:

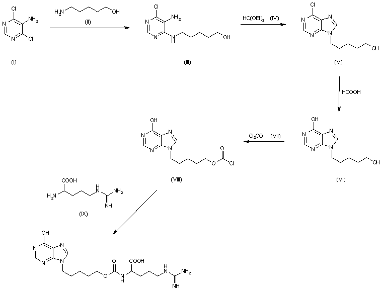
The reaction of 4,6-dichloropyrimidin-5-amine (I) with 5-aminopentanol (I) gives 4-chloro-6-(5-hydroxypentylamino)pyrimidin-5 amine (III), which is cyclized with triethyl orthoformate (IV) yielding 6-chloro-9-(5-hydroxypentyl)purine (V). The hydrolysis of (V) with formic acid affords 9-(5-hydroxypentyl) hypoxanthine (VI), which is treated with phosgene (VII) to give 9-[5-(chlorocarbonyloxy)pentyl]hypoxanthine (VIII). Finally, this compound is condensed with arginine (IX).

Drug Information Express,Drug R&D,Chemical Database,Patent Search.
Copyright © 2006-2026 Drug Future. All rights reserved.Contact Us