【药物名称】Ginkgolide B, BN-52021
化学结构式(Chemical Structure):
参考文献No.555313
标题:Total synthesis of (?-ginkgolide B
作者:Pace, J.M.; Watterson, S.H.; Nantermet, P.G.; Crimmins, M.T.; Kim-Meade, A.S.; Wagman, A.S.; Thomas, J.B.
来源:J Am Chem Soc 1999,121(43),10249
合成路线图解说明:

The reaction of ethyl 3-(3-furyl)acrylate (I) with the cuprate t-Bu2CuCNLi2, followed by reduction with diisobutylaluminum hydride gives the tert-butylated aldehyde (II), which is condensed with ethynylmagnesium bromide (III), yielding a mixture of the syn and anti acetylenic alcohols (IV) and (V). After chromatographic separation, the undesired anti-alcohol (IV) is converted to the syn-alcohol (V) by a Mitsunobu inversion. Alcohol (V) was protected as the triethylsilyl ether and carboxylated with ethyl chloroformate affording the acetylenic ester (VI), which is cyclized with the zinc/copper enolate (VII) giving the 2-oxocyclopentenecarboxylate (VIII). The photocyclization of (VIII) with U.V. light (366 nm) yields the tetracyclic ester (IX), which is desilylated with HF and mesylated with mesyl chloride affording mesylate (X). Lactonization of (X) with PPTS gives the pentacyclic lactone (XI), which is dehydrogenated with PhSeCl and NaIO4 to the enone (XII). The opening of the cyclobutane ring of (XII) with dimethyldioxirane (DMDO) and TsOH yields the trihydroxy compound (XIII), which is treated with MeOH and TsOH to afford the bis(methyl)acetal (XIV). The deoxygenation of (XIV) through the corresponding xanthate and reduction with tributylstannane gives intermediate (XV), which is hydroxylated and acylated yielding the propionyl ester (XVI). Cyclization of (XVI) by means of LDA in THF followed by treatment with NaOMe affords a diastereomeric mixture (XVII), which is separated by chromatography. The isolated epimer (XVIII) was treated with MeOH and camphorsulfonic acid (CSA) resulting in the methanolysis of its lactone ring and formation of a new tetrahydrofuran ring providing the pentacyclic compound (XIX).

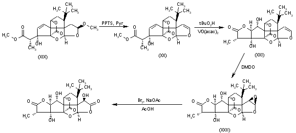
合成路线图解说明:

Elimination of methanol from (XIX) by means of PPTS and pyridine in hot chlorobenzene gives the diunsaturated pentacyclic compound (XX), which by cyclization with tert-butyl hydroperoxide and vanadyl acetylacetonate yields the hexacyclic compound (XXI). Finally, the double bond of (XXI) is treated first with dimethyldioxirane (DMDO) yielding the epoxide intermediate (XXII) that is then opened and oxidized with Br2, and NaOAc in AcOH.

参考文献No.594303
标题:The total synthesis of (?-ginkgolide B
作者:Crimmins, M.T.; et al.
来源:J Am Chem Soc 2000,122(35),8453
合成路线图解说明:

The reaction of ethyl 3-(3-furyl)acrylate (I) with the cuprate t-Bu2CuCNLi2, followed by reduction with diisobutylaluminum hydride gives the tert-butylated aldehyde (II), which is condensed with ethynylmagnesium bromide (III), yielding a mixture of the syn and anti acetylenic alcohols (IV) and (V). After chromatographic separation, the undesired anti-alcohol (IV) is converted to the syn-alcohol (V) by a Mitsunobu inversion. Alcohol (V) was protected as the triethylsilyl ether and carboxylated with ethyl chloroformate affording the acetylenic ester (VI), which is cyclized with the zinc/copper enolate (VII) giving the 2-oxocyclopentenecarboxylate (VIII). The photocyclization of (VIII) with U.V. light (366 nm) yields the tetracyclic ester (IX), which is desilylated with HF and mesylated with mesyl chloride affording mesylate (X). Lactonization of (X) with PPTS gives the pentacyclic lactone (XI), which is dehydrogenated with PhSeCl and NaIO4 to the enone (XII). The opening of the cyclobutane ring of (XII) with dimethyldioxirane (DMDO) and TsOH yields the trihydroxy compound (XIII), which is treated with MeOH and TsOH to afford the bis(methyl)acetal (XIV). The deoxygenation of (XIV) through the corresponding xanthate and reduction with tributylstannane gives intermediate (XV), which is hydroxylated and acylated yielding the propionyl ester (XVI). Cyclization of (XVI) by means of LDA in THF followed by treatment with NaOMe affords a diastereomeric mixture (XVII), which is separated by chromatography. The isolated epimer (XVIII) was treated with MeOH and camphorsulfonic acid (CSA) resulting in the methanolysis of its lactone ring and formation of a new tetrahydrofuran ring providing the pentacyclic compound (XIX).

合成路线图解说明:

Elimination of methanol from (XIX) by means of PPTS and pyridine in hot chlorobenzene gives the diunsaturated pentacyclic compound (XX), which by cyclization with tert-butyl hydroperoxide and vanadyl acetylacetonate yields the hexacyclic compound (XXI). Finally, the double bond of (XXI) is treated first with dimethyldioxirane (DMDO) yielding the epoxide intermediate (XXII) that is then opened and oxidized with Br2, and NaOAc in AcOH.

Drug Information Express,Drug R&D,Chemical Database,Patent Search.
Copyright © 2006-2026 Drug Future. All rights reserved.Contact Us