【药物名称】Rolziracetam, CI-911
化学结构式(Chemical Structure):
参考文献No.2954
标题:Use of dihydro-1H-pyrrolizine-3,5(2H,6H)-dione as a cognition activator
作者:Butler, D.E. (Pfizer Inc.)
来源:DD 201797; EP 0048132; US 4372966
合成路线图解说明:

The reductive cyclization of dimethyl 4-nitropimelate (I) with H2 over Pd/C in methanol gives 3-(2-oxo-5-pyrrolidinyl)propanoic acid (II), which is then treated with hot acetic anhydride.

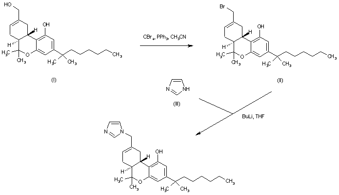
参考文献No.52928
标题:Novel non-psychotropic cannabinoids
作者:Fink, G.; Garzon, A. (Pharmos Corp.)
来源:WO 0198289
合成路线图解说明:

The reductive cyclization of dimethyl 4-nitropimelate (I) with H2 over Pd/C in methanol gives 3-(2-oxo-5-pyrrolidinyl)propanoic acid (II), which is then treated with hot acetic anhydride.

合成路线图解说明:

Dexanabinol (I) was brominated using carbon tetrabromide in the presence of triphenylphosphine. The resultant allylic bromide (II) was then condensed with the lithium salt of imidazole (III) to produce the title compound.

Drug Information Express,Drug R&D,Chemical Database,Patent Search.
Copyright © 2006-2026 Drug Future. All rights reserved.Contact Us