【药物名称】Dantrolene sodium, F-440, Dantrium
化学结构式(Chemical Structure):
参考文献No.62965
标题:Process for obtaining 1-[(5-(p-nitrophenyl)furfuryliden)amino]hydantoin and its sodium salt
作者:Martin-Escudero Perez, U.; Izquierdo Sanjose, M.
来源:ES 458000
合成路线图解说明:

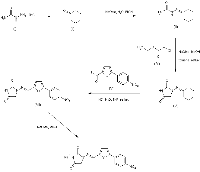
In an alternative method, condensation of semicarbazide hydrochloride (I) with cyclohexanone (II) yields the semicarbazone (III). Subsequent reaction of (III) with ethyl chloroacetate (IV) in the presence of NaOMe gives rise to the cyclohexylidene aminohydantoin (V). Treatment of (V) with 5-(p-nitrophenyl)furfural (VI) under acidic conditions affords the furfurylidene aminohydantoin (VII). This is finally converted into the corresponding sodium salt employing methanolic NaOMe (3).

参考文献No.62966
标题:Solid phase synthesis of 1-aminohydantoins
作者:Portlock, D.E.; Li, M.; Wilson, L.J. (The Procter & Gamble Co.)
来源:WO 9942450
合成路线图解说明:

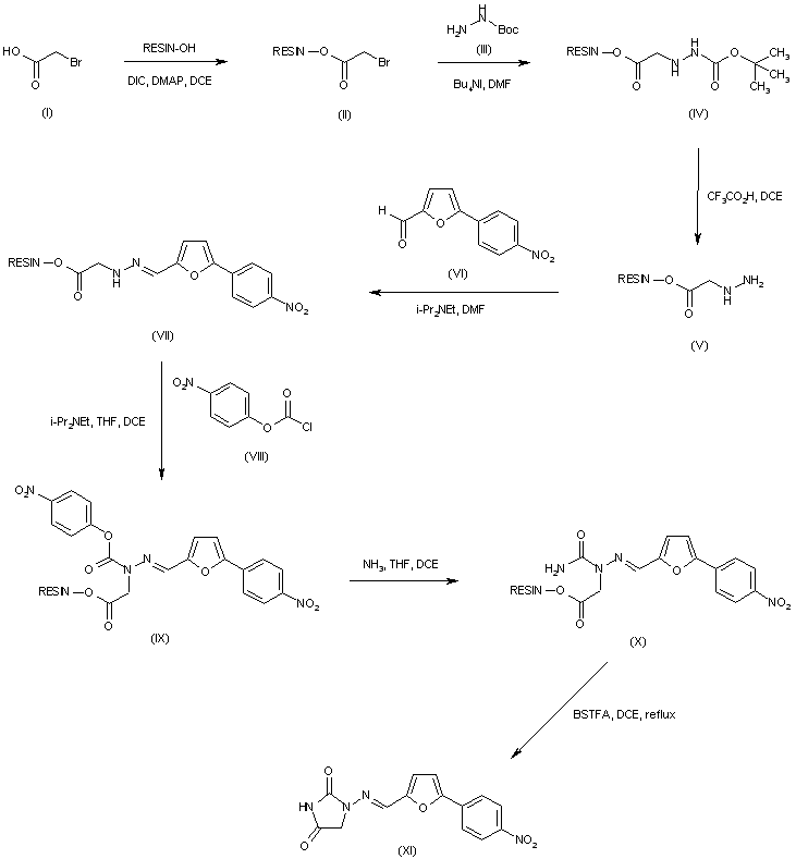
The title compound has also been obtained by solid phase synthesis. Bromoacetic acid (I) is coupled to hydroxymethyl polystyrene resin by means of DIC/DMAP to produce the bromoacetyl resin (II). Bromide displacement with tert-butyl carbazate (III) leads to the N-Boc hydrazino ester (IV), which is further deprotected to (V) employing trifluoroacetic acid. The hydrazinoacetic acid-bound resin (V) is then condensed with 5-(p-nitrophenyl)furfural (VI) to furnish hydrazone (VII). Acylation of resin (VII) with p-nitrophenyl chloroformate (VIII) produces the p-nitrophenyl carbamate (IX), which upon treatment with ammonia gives rise to the semicarbazone (X). Finally, concomitant intramolecular ring closure and resin cleavage of (X) produces the target aminohydantoin derivative (XI) (4, 5).

参考文献No.736553
标题:1-[(5-Arylfurfurylidene)amino]hydantoins. A new class of muscle relaxants
作者:Snyder, H.R. Jr.; Davis, C.S.; Bickerton, R.K.; Halliday, R.P.
来源:J Med Chem 1967,10(5),807
合成路线图解说明:

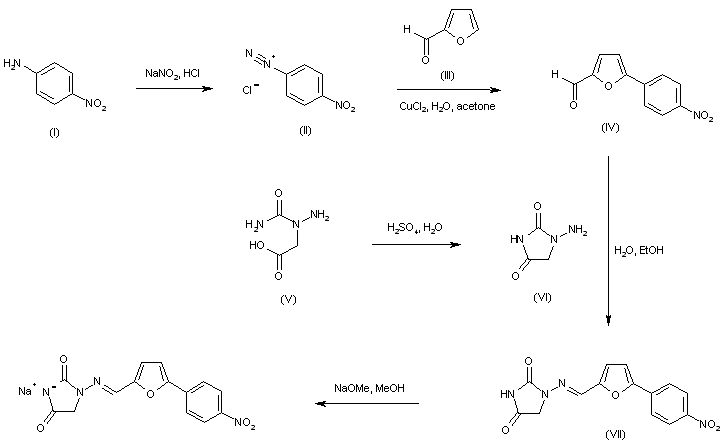
Diazotization of 4-nitroaniline (I), followed by copper-catalyzed coupling of the resultant diazonium salt (II) with 2-furaldehyde (III) leads to 5-(p-nitrophenyl)-2-furancarboxaldehyde (IV) (1). Cyclization of semicarbazideacetic acid (V) by heating in aqueous sulfuric acid leads to 1-aminohydantoin (VI) (2). This is then condensed with aldehyde (IV) to furnish the furfurylidene aminohydantoin (VII) (1, 2). Treatment of (VII) with sodium methoxide gives rise to the corresponding sodium salt (1).

参考文献No.736556
标题:Furan derivatives. XXIII. Synthesis and absorption spectra of 5-(nitrophenyl)-2-furaldehyde derivatives
作者:Frimm, R.; Kovac, S.; Giller, S.A.
来源:Chem Zvesti 1969,23(11-12),916
合成路线图解说明:

Diazotization of 4-nitroaniline (I), followed by copper-catalyzed coupling of the resultant diazonium salt (II) with 2-furaldehyde (III) leads to 5-(p-nitrophenyl)-2-furancarboxaldehyde (IV) (1). Cyclization of semicarbazideacetic acid (V) by heating in aqueous sulfuric acid leads to 1-aminohydantoin (VI) (2). This is then condensed with aldehyde (IV) to furnish the furfurylidene aminohydantoin (VII) (1, 2). Treatment of (VII) with sodium methoxide gives rise to the corresponding sodium salt (1).

参考文献No.736567
标题:Solid phase synthesis of 1-aminohydantoin libraries
作者:Wilson, L.J.; Li, M.; Portlock, D.E.
来源:Tetrahedron Lett 1998,39(29),5135
合成路线图解说明:

The title compound has also been obtained by solid phase synthesis. Bromoacetic acid (I) is coupled to hydroxymethyl polystyrene resin by means of DIC/DMAP to produce the bromoacetyl resin (II). Bromide displacement with tert-butyl carbazate (III) leads to the N-Boc hydrazino ester (IV), which is further deprotected to (V) employing trifluoroacetic acid. The hydrazinoacetic acid-bound resin (V) is then condensed with 5-(p-nitrophenyl)furfural (VI) to furnish hydrazone (VII). Acylation of resin (VII) with p-nitrophenyl chloroformate (VIII) produces the p-nitrophenyl carbamate (IX), which upon treatment with ammonia gives rise to the semicarbazone (X). Finally, concomitant intramolecular ring closure and resin cleavage of (X) produces the target aminohydantoin derivative (XI) (4, 5).

Drug Information Express,Drug R&D,Chemical Database,Patent Search.
Copyright © 2006-2026 Drug Future. All rights reserved.Contact Us