【药物名称】Ibudilast, KC-404, Eyevinal(Ophthalmic), Ketas
化学结构式(Chemical Structure):
参考文献No.46465
标题:2-Alkyl-3-acylpyrazolo[1,5-a]pyridines
作者:Irikura, T.; et al. (Kyorin Pharmaceutical Co., Ltd.)
来源:DE 2315801; FR 2182914; JP 7714799
合成路线图解说明:

By condensation of 1-amino-2-methylpyridinium iodide (I) with isobutyric anhydride (II) by means of K2CO3 at reflux temperature.

参考文献No.52867
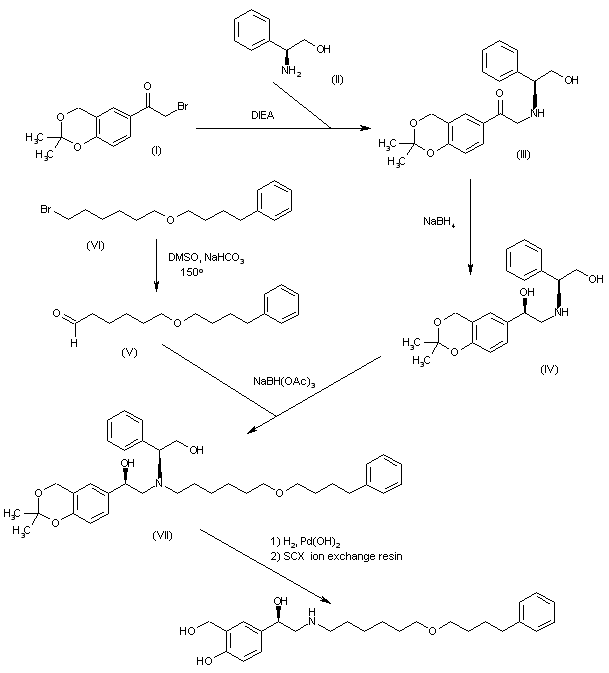
标题:A novel process for preparing salmeterol
作者:Procopiou, P.A. (GlaxoSmithKline plc)
来源:WO 0196278
合成路线图解说明:

By condensation of 1-amino-2-methylpyridinium iodide (I) with isobutyric anhydride (II) by means of K2CO3 at reflux temperature.

合成路线图解说明:

The reaction of 6-(4-phenylbutoxy)hexanol methanesulfonate (I) with (R)-phenylglycinol (II) by means of DIEA and NaI in hot acetonitrile gives the secondary amine (III), which is condensed with 2-(benzyloxy)-5-(2-bromoacetyl)benzoic acid methyl ester (IV) by means of DIEA in refluxing 1,2-dimethoxyethane to yield the tertiary amine (V). The enantioselective reduction of (V) with LiBH4 in refluxing dimethoxyethane affords the tetrahydroxy derivative (VI), which is finally debenzylated by hydrogenation with H2 over Pd/C in ethanol to provide the target aminoethanol derivative.

Drug Information Express,Drug R&D,Chemical Database,Patent Search.
Copyright © 2006-2026 Drug Future. All rights reserved.Contact Us