【药物名称】Quinocarmycin, Quinocarcin citrate, NSC-601422, KW-2152, DC-52 citrate
化学结构式(Chemical Structure):
参考文献No.208148
标题:Asymmetric synthesis of (-)-quinocarcin
作者:Ho, W.B.; Garner, P.; Shin, H.
来源:J Am Chem Soc 1992,114(7),2767
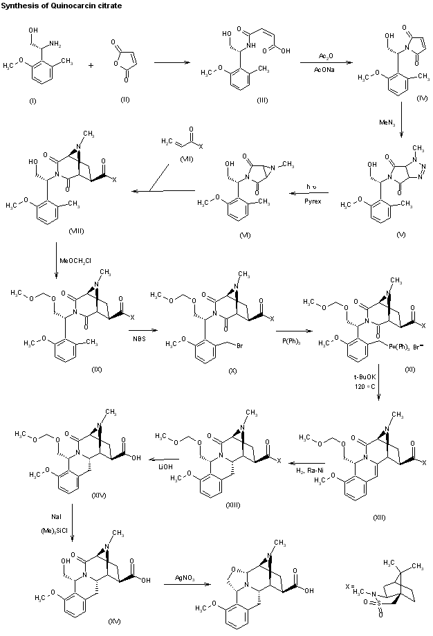
合成路线图解说明:

An asymmetric synthesis of (-)-quinocarcin has been described: The acylation of 2-(2-methoxy-6-methylphenyl)-(R)- glycinol (I) with maleic anhydride (II) in ether gives the maleic monoamide (III), which is cyclized to the pyrrolidinedione (IV) by refluxing with acetic anhydride. The cyclization of (IV) with methyl azide in toluene affords the pyrrolotriazole (V), which is irradiated with UV light (Hg lamp), giving the aziridinopyrrole (VI). The cycloaddition of (VI) with the chiral acrylamide (VII) affords the diazabicyclo[3.2.1]octane (VIII). At this point, the hydroxyl group of (VIII) is protected with methoxymethyl chloride giving the methoxymethyl ether (IX), which is submitted to benzylic bromination with N-bromosuccinimide (NBS) in chloroform, yielding the bromo derivative (X). The reaction of (X) with triphenylphosphine affords the phosphonium salt (XI), which by treatment with potassium tert-butoxide and heat cyclizes to the tetracyclo compound (XII). Hydrogenation of (XII) with H2 over RaNi in ethanol affords the reduced compound (XIII), which is treated with LiOH in THF - water, affording the free acid derivative (XIV). The deprotection of the ether group of (XIV) with trimethylsilyl chloride and NaI in acetonitrile gives the hydroxymethyl derivative (XV), which is finally cyclized to (-)-quinocarcin with AgNO3 in methanol-water.

参考文献No.250937
标题:Total synthesis of (-)-quinocarcin and (-)-10-decarboxyquinocarcin
作者:Katoh, T.; Minami, J.; Kirihara, M.; Kobayashi, Y.; Arai, K.; Nagata, Y.; Terashima, S.
来源:Tetrahedron Lett 1993,34(36),5747
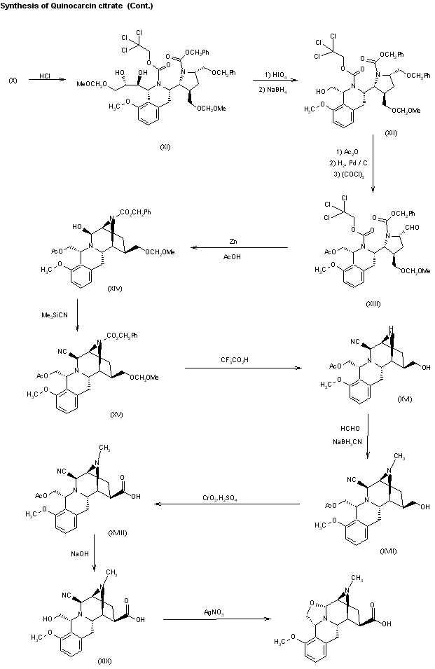
合成路线图解说明:

A new total synthesis of (-)-quinocarcin has been reported: The condensation of 2-bromo-3-methylanisole (I) with 4-O-benzyl-2,3-O-isopropylidene-D-threose (II) by means of butyllithium in ether followed by oxidation with CrO3-pyridine gives the ketone (III), which is debenzylated by hydrogenation over Pd(OH)2 to yield the ketol (IV). The protection of the hydroxy group of (IV) with methoxymethyl chloride affords the fully protected ketone (V), which is condensed with suitable optically active pyrrolidine (VI) by means of lithium diisopropylamide, followed by oxidation with CrO3-H2SO4 to give the diketone (VII). The cyclization of (VII) with ammonia in THF yields the isoquinoline (VIII), which is reduced with sodium cyanoborohydride to the tetrahydro derivative (IX). The protection of the imino group of (IX) with 2,2,2-trichloroethyl chloroformate yields the trichloroethyl ester (X).

合成路线图解说明:

The trichloroethyl ester (X) is treated with concentrated HCl in methanol to eliminate the isopropylidene group, affording the diol (XI). The oxidation of (XI) with sodium periodate, followed by reduction of the resulting aldehyde, gives the primary alcohol (XII). Acetylation of (XII) with acetic anhydride, followed by debenzylation with hydrogen over Pd/C and oxidation with oxalyl chloride, gives the aldehyde (XIII), which is cyclized by treatment with Zn and acetic acid to the tetracyclic alcohol (XIV). The reaction of (XIV) with trimethylsilyl cyanide and ZnCl2 in dichloromethane gives the nitrile (XV), which is treated with trifluoroacetic acid to eliminate the benzyl and the methoxymethyl groups, yielding the primary alcohol (XVI). The methylation of the NH group of (XVI) with formaldehyde and sodium cyanoborohydride in methanol affords the N-methyl derivative (XVII), which is oxidized with CrO3-H2SO4 to the carboxylic acid (XVIII). Elimination of the acetyl group of (XVIII) with NaOH in methanol gives the primary alcohol (XIX), which is finally cyclized by means of AgNO3 in methanol.

Drug Information Express,Drug R&D,Chemical Database,Patent Search.
Copyright © 2006-2026 Drug Future. All rights reserved.Contact Us