【药物名称】Otenzepad, AF-DX 116, AF-DX 116 BS
化学结构式(Chemical Structure):
参考文献No.2855
标题:Condensed diazepinones, process for their preparation and medicines containing them
作者:Schmidt, G.; Hammer, R.; Giachetti, A.; Engel, W.; Trummlitz, G.; Eberlein, W.; Mihm, G. (Dr. Karl Thomae GmbH)
来源:AU 8539815; EP 0156191; ES 8607282; ES 8702908; JP 1985215683; US 4550107
合成路线图解说明:

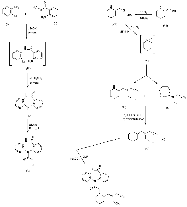
Synthesis of the intermediate 5,11-dihydro-6H-pyrido[2,3-b][1,4]benzodiazepin-6-one (IV) is accomplished by condensation of 3-amino-2-chloropyridine (I) and the anthranilic ester (II) using potassium tert-butoxide as a catalyst. The resulting anthranilic amide (III) is cyclized under the influence of catalytic amounts of sulfuric acid. Treatment of (IV) with chloroacetylchloride in toluene furnishes the corresponding chloroacetamide (V). The diamine part of AF-DX 116 is prepared starting from 2-(hydroxymethyl)piperidine (VI). Reaction with thionylchloride in dichloromethane affords the pipecolylchloride hydrochloride (VII), which is converted with diethylamine to the required 2-[(diethylamino)methyl]piperidine (IX) via nucleophilic ring opening of the intermediate aziridine (VIII). Minor amounts of 3-(diethylamino)hexahydroazepine (X), formed by a side reaction, are separated by thorough fractional distillation of the diamine (IX) and/or recrystallization of its hydrochloride (XI). Coupling of (V) and (XI) in the presence of sodium carbonate yields AF-DX 116 as its free base.

参考文献No.5699
标题:Cerebral function enhancing diazinylpiperidine derivs
作者:Mattson, R.J.; Yevich, J.P.; Eison, M.S. (Bristol-Myers Squibb Co.)
来源:AU 8659787; BE 0905061; CH 671579; DE 3622842; FR 2584408; GB 2177692; US 4826843
合成路线图解说明:

Synthesis of the intermediate 5,11-dihydro-6H-pyrido[2,3-b][1,4]benzodiazepin-6-one (IV) is accomplished by condensation of 3-amino-2-chloropyridine (I) and the anthranilic ester (II) using potassium tert-butoxide as a catalyst. The resulting anthranilic amide (III) is cyclized under the influence of catalytic amounts of sulfuric acid. Treatment of (IV) with chloroacetylchloride in toluene furnishes the corresponding chloroacetamide (V). The diamine part of AF-DX 116 is prepared starting from 2-(hydroxymethyl)piperidine (VI). Reaction with thionylchloride in dichloromethane affords the pipecolylchloride hydrochloride (VII), which is converted with diethylamine to the required 2-[(diethylamino)methyl]piperidine (IX) via nucleophilic ring opening of the intermediate aziridine (VIII). Minor amounts of 3-(diethylamino)hexahydroazepine (X), formed by a side reaction, are separated by thorough fractional distillation of the diamine (IX) and/or recrystallization of its hydrochloride (XI). Coupling of (V) and (XI) in the presence of sodium carbonate yields AF-DX 116 as its free base.

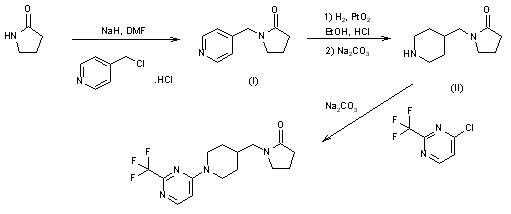
合成路线图解说明:

Alkylation of 2-pyrrolidinone with 4-chloromethylpyridine and base provides the pyridine (I). Catalytic hydrogenation of (I) with platinum oxide yields the piperidine (II). Condensation of 4-chloro-2-trifluoromethylpyrimidine, which is obtained in two steps from trifluoroacetamidine and the sodium salt of ethyl formylacetate, with (II) then affords BMY-21502.

参考文献No.96974
标题:Tricyclic compounds as selective muscarinic receptor antagonists. 3. Structure-selectivity relationships in a series of cardioselective (M2) antimuscarinics
作者:Eberlein, W.G.; Trummlitz, G.; Mihm, G.; Engel, W.W.; Hammer, R.
来源:J Med Chem 1989,32(8),1718-24
合成路线图解说明:

Synthesis of the intermediate 5,11-dihydro-6H-pyrido[2,3-b][1,4]benzodiazepin-6-one (IV) is accomplished by condensation of 3-amino-2-chloropyridine (I) and the anthranilic ester (II) using potassium tert-butoxide as a catalyst. The resulting anthranilic amide (III) is cyclized under the influence of catalytic amounts of sulfuric acid. Treatment of (IV) with chloroacetylchloride in toluene furnishes the corresponding chloroacetamide (V). The diamine part of AF-DX 116 is prepared starting from 2-(hydroxymethyl)piperidine (VI). Reaction with thionylchloride in dichloromethane affords the pipecolylchloride hydrochloride (VII), which is converted with diethylamine to the required 2-[(diethylamino)methyl]piperidine (IX) via nucleophilic ring opening of the intermediate aziridine (VIII). Minor amounts of 3-(diethylamino)hexahydroazepine (X), formed by a side reaction, are separated by thorough fractional distillation of the diamine (IX) and/or recrystallization of its hydrochloride (XI). Coupling of (V) and (XI) in the presence of sodium carbonate yields AF-DX 116 as its free base.

参考文献No.114378
标题:AF-DX 116
作者:Engel, W.; Doods, H.; Wetzel, B.
来源:Drugs Fut 1990,15(1),9
合成路线图解说明:

Synthesis of the intermediate 5,11-dihydro-6H-pyrido[2,3-b][1,4]benzodiazepin-6-one (IV) is accomplished by condensation of 3-amino-2-chloropyridine (I) and the anthranilic ester (II) using potassium tert-butoxide as a catalyst. The resulting anthranilic amide (III) is cyclized under the influence of catalytic amounts of sulfuric acid. Treatment of (IV) with chloroacetylchloride in toluene furnishes the corresponding chloroacetamide (V). The diamine part of AF-DX 116 is prepared starting from 2-(hydroxymethyl)piperidine (VI). Reaction with thionylchloride in dichloromethane affords the pipecolylchloride hydrochloride (VII), which is converted with diethylamine to the required 2-[(diethylamino)methyl]piperidine (IX) via nucleophilic ring opening of the intermediate aziridine (VIII). Minor amounts of 3-(diethylamino)hexahydroazepine (X), formed by a side reaction, are separated by thorough fractional distillation of the diamine (IX) and/or recrystallization of its hydrochloride (XI). Coupling of (V) and (XI) in the presence of sodium carbonate yields AF-DX 116 as its free base.

Drug Information Express,Drug R&D,Chemical Database,Patent Search.
Copyright © 2006-2026 Drug Future. All rights reserved.Contact Us