【药物名称】Tigemonam, SQ-30213
化学结构式(Chemical Structure):
参考文献No.2826
标题:Preparation of 4,4-dialkyl-2-azetidinones
作者:Slusarchyk, W.A.; Dejneka, T.; Kostes, W.H. (Bristol-Myers Squibb Co.)
来源:AU 8652460; BE 090411; DE 3602347; ES 8706112; ES 8800897; FR 2576596; GB 2170201; US 4638061
合成路线图解说明:

1) The esterification of N-acetylmuramyl-L-alanyl-D-glutaminyl-L-alanine (I) with N-hydroxysuccinimide (II) by means of dicyclohexylcarbodiimide in dimethylacetamide gives the corresponding N-hydroxysuccinimide ester (III), which is then to condensed with O-(1,2-dipalmitoyl-sn-glycero-3-phosphoryl)ethanolamine (IV) by means of triethylamine in the same solvent.

合成路线图解说明:

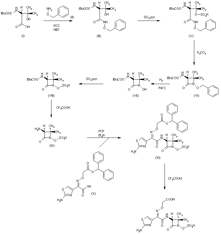
The reaction of N-(tert-butoxycarbonyl)-3-hydroxyvaline (I) with O-benzylhydroxylamine (II) by means of hydroxybenzotriazole (HBT) and dicyclohexylcarbodiimide (DCC) in THF gives the corresponding benzyloxyamide (III), which is treated with the pyridine.SO3 complex (IV) in pyridine to yield N-(tert-butoxycarbonyl)-3-(sulfooxy)-N2-(benzyloxy)valinamide (V). The cyclization of (V) by means of K2CO3 in ethyl acetate - water affords 1-(benzyloxy)-3-(tert-butoxycarbonylamino)-4,4-dimethylazetidin-2-one (VI), which is debenzylated by hydrogenation with H2 over Pd/C in methanol to give the N-hydroxyazetidine (VII). The reaction of (VII) with the sulfonating complex (IV) affords the 1-azetidinyl sulfuric ester (VIII), which is deprotected by reaction with trifluoroacetic acid in anisole - dichloromethane yielding 3-amino-4,4-dimethyl-2-oxoazetidinyl-1-sulfate (IX). The condensation of (IX) with 2-(2-aminothiazol-4-yl)-2(Z)-(diphenylmethoxycarbonylmethoxyimino)acetic acid (X) by means of diphenyl chlorophosphate (PCP) and triethylamine in DMF gives the diphenylmethyl ester (XI) of the final product, which is finally deprotected by hydrolysis with trifluoroacetic acid and anisole.

参考文献No.109629
标题:TIGEMONAM < Rec INN >
作者:Gurney, J.D.; Prous, J.; Casta馿r, J.
来源:Drugs Fut 1989,14(10),966
合成路线图解说明:

The reaction of N-(tert-butoxycarbonyl)-3-hydroxyvaline (I) with O-benzylhydroxylamine (II) by means of hydroxybenzotriazole (HBT) and dicyclohexylcarbodiimide (DCC) in THF gives the corresponding benzyloxyamide (III), which is treated with the pyridine.SO3 complex (IV) in pyridine to yield N-(tert-butoxycarbonyl)-3-(sulfooxy)-N2-(benzyloxy)valinamide (V). The cyclization of (V) by means of K2CO3 in ethyl acetate - water affords 1-(benzyloxy)-3-(tert-butoxycarbonylamino)-4,4-dimethylazetidin-2-one (VI), which is debenzylated by hydrogenation with H2 over Pd/C in methanol to give the N-hydroxyazetidine (VII). The reaction of (VII) with the sulfonating complex (IV) affords the 1-azetidinyl sulfuric ester (VIII), which is deprotected by reaction with trifluoroacetic acid in anisole - dichloromethane yielding 3-amino-4,4-dimethyl-2-oxoazetidinyl-1-sulfate (IX). The condensation of (IX) with 2-(2-aminothiazol-4-yl)-2(Z)-(diphenylmethoxycarbonylmethoxyimino)acetic acid (X) by means of diphenyl chlorophosphate (PCP) and triethylamine in DMF gives the diphenylmethyl ester (XI) of the final product, which is finally deprotected by hydrolysis with trifluoroacetic acid and anisole.

Drug Information Express,Drug R&D,Chemical Database,Patent Search.
Copyright © 2006-2026 Drug Future. All rights reserved.Contact Us