【药物名称】Cefditoren pivoxil, ME-1207, Spectracef, Meiact
化学结构式(Chemical Structure):
参考文献No.4113
标题:New cephalosporin cpds. and the production thereof
作者:Atsumi, K.; Sakagami, K.; Yamamoto, Y.; Yoshida, T.; Nishihata, K.; Kondo, S.; Fukatsu, S. (Meiji Seika Kaisha, Ltd.)
来源:EP 0175610; ES 8704955; JP 1986178991; JP 1987019593
合成路线图解说明:

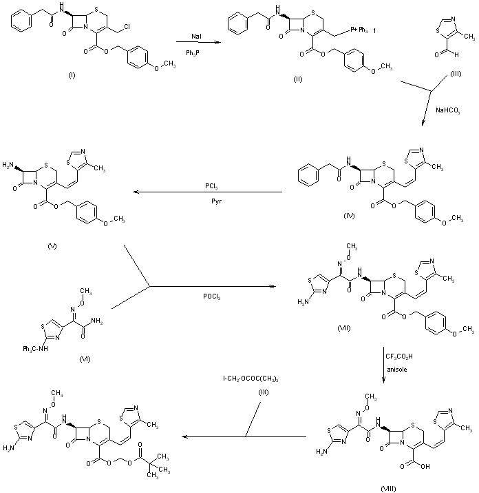
The reaction of 3-(chloromethyl)-7-(phenylacetamido)-3-cephem-4-carboxylic acid 4-methoxybenzyl ester (I) with triphenylphosphine and NaI in acetone gives the corresponding phosphonium salt (II), which is condensed with 4-methylthiazole-5-carboxaldehyde (III) by means of NaHCO3 in dichloromethane affording 3-[2(Z)-(4-methylthiazol-5-yl)vinyl]-7-(phenylacetamido)-3-cephem-4-carboxylic acid 4-methoxybenzyl ester (IV). The cleavage of the amido group of (IV) with PCl5 and pyridine yields the 7-amino compound (V), which is condensed with 2-(methoxyimino)-2-[2-(tritylamino)thiazol-4-yl]acetic acid (VI) by means of POCl3 in dichloromethane giving 3-[2(Z)-(4-methylthiazol-5-yl)vinyl]-7-[2(Z)-methoxyimino)-2-(2-tritylamino)thiazol-4-yl)acetamido]-3-cephem-4-carboxylic acid 4-methoxybenzyl ester (VII). The deprotection of (VII) with trifluoroacetic acid and anisole yields the free amino acid (VIII), which is finally esterified with iodomethyl pivalate (IX) in DMF.

参考文献No.136665
标题:Synthesis and oral activity of ME1207, a new orally active cephalosporin
作者:Sakagami, K.; Tamura, A.; Yoshida, T.; Nishihata, K.; Fukatsu, S.; Atsumi, K.
来源:J Antibiot 1990,43(8),1047
合成路线图解说明:

The reaction of 3-(chloromethyl)-7-(phenylacetamido)-3-cephem-4-carboxylic acid 4-methoxybenzyl ester (I) with triphenylphosphine and NaI in acetone gives the corresponding phosphonium salt (II), which is condensed with 4-methylthiazole-5-carboxaldehyde (III) by means of NaHCO3 in dichloromethane affording 3-[2(Z)-(4-methylthiazol-5-yl)vinyl]-7-(phenylacetamido)-3-cephem-4-carboxylic acid 4-methoxybenzyl ester (IV). The cleavage of the amido group of (IV) with PCl5 and pyridine yields the 7-amino compound (V), which is condensed with 2-(methoxyimino)-2-[2-(tritylamino)thiazol-4-yl]acetic acid (VI) by means of POCl3 in dichloromethane giving 3-[2(Z)-(4-methylthiazol-5-yl)vinyl]-7-[2(Z)-methoxyimino)-2-(2-tritylamino)thiazol-4-yl)acetamido]-3-cephem-4-carboxylic acid 4-methoxybenzyl ester (VII). The deprotection of (VII) with trifluoroacetic acid and anisole yields the free amino acid (VIII), which is finally esterified with iodomethyl pivalate (IX) in DMF.

参考文献No.180046
标题:Cefditoren Pivoxil
作者:Casta馿r, J.; Prous, J.
来源:Drugs Fut 1992,17(8),665
合成路线图解说明:

The reaction of 3-(chloromethyl)-7-(phenylacetamido)-3-cephem-4-carboxylic acid 4-methoxybenzyl ester (I) with triphenylphosphine and NaI in acetone gives the corresponding phosphonium salt (II), which is condensed with 4-methylthiazole-5-carboxaldehyde (III) by means of NaHCO3 in dichloromethane affording 3-[2(Z)-(4-methylthiazol-5-yl)vinyl]-7-(phenylacetamido)-3-cephem-4-carboxylic acid 4-methoxybenzyl ester (IV). The cleavage of the amido group of (IV) with PCl5 and pyridine yields the 7-amino compound (V), which is condensed with 2-(methoxyimino)-2-[2-(tritylamino)thiazol-4-yl]acetic acid (VI) by means of POCl3 in dichloromethane giving 3-[2(Z)-(4-methylthiazol-5-yl)vinyl]-7-[2(Z)-methoxyimino)-2-(2-tritylamino)thiazol-4-yl)acetamido]-3-cephem-4-carboxylic acid 4-methoxybenzyl ester (VII). The deprotection of (VII) with trifluoroacetic acid and anisole yields the free amino acid (VIII), which is finally esterified with iodomethyl pivalate (IX) in DMF.

参考文献No.802031
标题:Synthesis and oral activity of pivaloyloxymethyl 7-[(Z)-2-(2-aminothiazol-4-yl)-2-methoxyiminoacetamido]-3(Z)--(4-methylthiazol-5-yl)vinyl-3-cephem-4-carboxylate (ME1207) and its related compound
作者:Yamamoto, Y.; Yoshida, T.; Tamura, A.; Atsumi, K.; Fukatsu, S.; Sakagami, K.; Nishihata, K.
来源:Chem Pharm Bull 1992,39(9),2433
合成路线图解说明:

The reaction of 3-(chloromethyl)-7-(phenylacetamido)-3-cephem-4-carboxylic acid 4-methoxybenzyl ester (I) with triphenylphosphine and NaI in acetone gives the corresponding phosphonium salt (II), which is condensed with 4-methylthiazole-5-carboxaldehyde (III) by means of NaHCO3 in dichloromethane affording 3-[2(Z)-(4-methylthiazol-5-yl)vinyl]-7-(phenylacetamido)-3-cephem-4-carboxylic acid 4-methoxybenzyl ester (IV). The cleavage of the amido group of (IV) with PCl5 and pyridine yields the 7-amino compound (V), which is condensed with 2-(methoxyimino)-2-[2-(tritylamino)thiazol-4-yl]acetic acid (VI) by means of POCl3 in dichloromethane giving 3-[2(Z)-(4-methylthiazol-5-yl)vinyl]-7-[2(Z)-methoxyimino)-2-(2-tritylamino)thiazol-4-yl)acetamido]-3-cephem-4-carboxylic acid 4-methoxybenzyl ester (VII). The deprotection of (VII) with trifluoroacetic acid and anisole yields the free amino acid (VIII), which is finally esterified with iodomethyl pivalate (IX) in DMF.

Drug Information Express,Drug R&D,Chemical Database,Patent Search.
Copyright © 2006-2026 Drug Future. All rights reserved.Contact Us