【药物名称】Imiquimod, MTD-39, DZ-2636, R-837, S-26308, Zartra, Aldara
化学结构式(Chemical Structure):
参考文献No.2786
标题:1H-Imidazo[4,5-c]quinolines and 1H-imidazo[4, 5-c]quinolin-4-amines
作者:Gerster, J.F. (3M Pharmaceuticals)
来源:EP 0145340; US 4689338; US 4698348
合成路线图解说明:

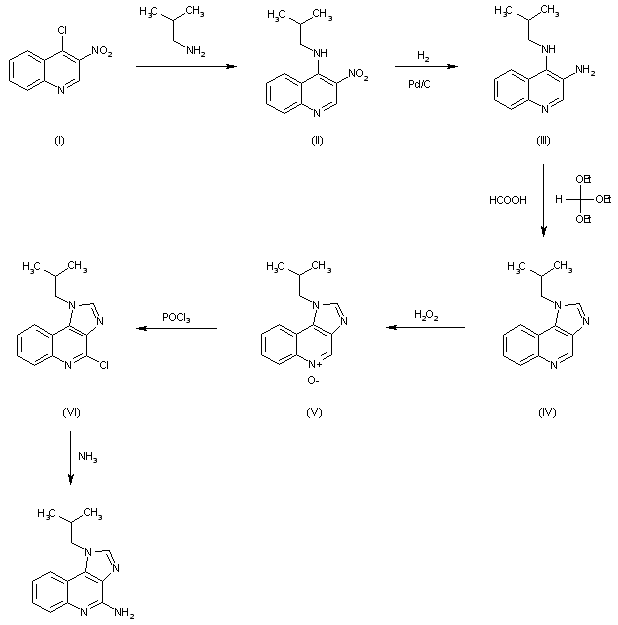
The condensation of 4-chloro-3-nitroquinoline (I) with isobutylamine in refluxing THF gives 4-(isobutylamino)-3-nitroquinoline (II), which by reduction with H2 over Pt/C in ethanol is converted to 3-amino-4-(isobutylamino)quinoline (III). The cyclization of (III) with triethyl orthoformate in refluxing formic acid affords 1-isobutyl-1H-imidazo[4,5-c]quinoline (IV), which is oxidized with 30% H2O2 in hot acetic acid yielding 1-isobutyl-1H-imidazo[4,5-c]quinolin-5-oxide (V). The reaction of (V) with refluxing POCl3 affords 4-chloro-1-isobutyl-1H-imidazo[4,5-c]quinoline (VI), which is finally treated with concentrated aqueous NH4OH at 150 C in a pressure vessel.

参考文献No.103406
标题:S-26308
作者:Prous, J.; Casta馿r, J.
来源:Drugs Fut 1989,14(9),870
合成路线图解说明:

The condensation of 4-chloro-3-nitroquinoline (I) with isobutylamine in refluxing THF gives 4-(isobutylamino)-3-nitroquinoline (II), which by reduction with H2 over Pt/C in ethanol is converted to 3-amino-4-(isobutylamino)quinoline (III). The cyclization of (III) with triethyl orthoformate in refluxing formic acid affords 1-isobutyl-1H-imidazo[4,5-c]quinoline (IV), which is oxidized with 30% H2O2 in hot acetic acid yielding 1-isobutyl-1H-imidazo[4,5-c]quinolin-5-oxide (V). The reaction of (V) with refluxing POCl3 affords 4-chloro-1-isobutyl-1H-imidazo[4,5-c]quinoline (VI), which is finally treated with concentrated aqueous NH4OH at 150 C in a pressure vessel.

Drug Information Express,Drug R&D,Chemical Database,Patent Search.
Copyright © 2006-2026 Drug Future. All rights reserved.Contact Us