【药物名称】Daptomycin, LY-146032, Cubicin, Cidecin, Dapcin
化学结构式(Chemical Structure):
参考文献No.2545
标题:Derivs. of A-21978C cyclic peptides
作者:Abbott, B.J.; Debono, M.; Fukuda, D.S. (Eli Lilly and Company)
来源:US 4537717
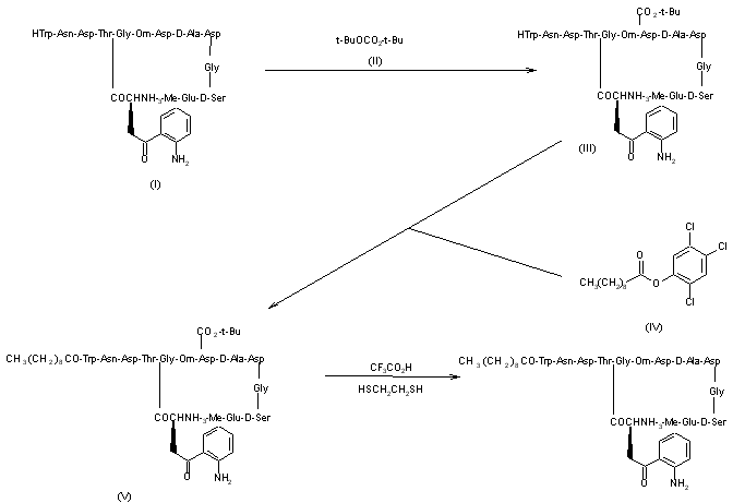
合成路线图解说明:

A-21978C nucleus (I) (obtained by deacylating A-21978C complex by fermentation with Actinoplanes utahensis NRRL 12052) is protected with di-tert-butyl carbonate (II) and NaOH in water to give the N-(Orn-)-tert-butoxycarbonyl derivative (III), which is treated with 2,4,5-trichlorophenyl decanoate (IV) in hot DMF yielding the protected decanoyl derivative (V). Finally, this compound is deprotected with trifluoroacetic acid / 1,2-ethanedithiol.

参考文献No.142569
标题:Daptomycin
作者:Dionisi, M.S.; Patoia, L.; Casta馿r, J.
来源:Drugs Fut 1991,16(7),608
合成路线图解说明:

A-21978C nucleus (I) (obtained by deacylating A-21978C complex by fermentation with Actinoplanes utahensis NRRL 12052) is protected with di-tert-butyl carbonate (II) and NaOH in water to give the N-(Orn-)-tert-butoxycarbonyl derivative (III), which is treated with 2,4,5-trichlorophenyl decanoate (IV) in hot DMF yielding the protected decanoyl derivative (V). Finally, this compound is deprotected with trifluoroacetic acid / 1,2-ethanedithiol.

Drug Information Express,Drug R&D,Chemical Database,Patent Search.
Copyright © 2006-2026 Drug Future. All rights reserved.Contact Us