【药物名称】Dexamethasone linoleate, ISF-2073
化学结构式(Chemical Structure):
参考文献No.604506
标题:New unsaturated esters for tropical antiphlogistic use; Synthesis and spectroscopic properties od dexamethasone-21-linoleate
作者:Pifferi, G.; et al.
来源:Arzneim-Forsch Drug Res 1976,26(1),7
合成路线图解说明:

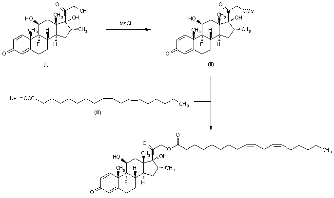
By reaction of dexamethasone alcohol (I) with methanesulfonyl chloride giving dexamethasone mesylate (II), which is the transesterified with potassium linoleate in dimethylformamide.

参考文献No.800747
标题:Dexamethasone-21-linoleate
作者:Casta馿r, J.; Arrigoni-Martelli, E.
来源:Drugs Fut 1976,1(7),316
合成路线图解说明:

By reaction of dexamethasone alcohol (I) with methanesulfonyl chloride giving dexamethasone mesylate (II), which is the transesterified with potassium linoleate in dimethylformamide.

参考文献No.800748
标题:21-Ester von unges鋞tigten Fetts鋟reestern des Desa- und Betamethazons
作者:Szporny, L.; Pifferi, G.; Pinza, M.
来源:BE 0764130; DE 2113163; FR 2112302; GB 1292785
合成路线图解说明:

By reaction of dexamethasone alcohol (I) with methanesulfonyl chloride giving dexamethasone mesylate (II), which is the transesterified with potassium linoleate in dimethylformamide.

Drug Information Express,Drug R&D,Chemical Database,Patent Search.
Copyright © 2006-2026 Drug Future. All rights reserved.Contact Us