【药物名称】FK-089
化学结构式(Chemical Structure):
参考文献No.2731
标题:Cephem compounds
作者:Takaya, T.; Takasugi, H.; Yamanaka, H. (Fujisawa Pharmaceutical Co., Ltd.)
来源:EP 0071891; US 4515788; US 4649136; US 4736039
合成路线图解说明:

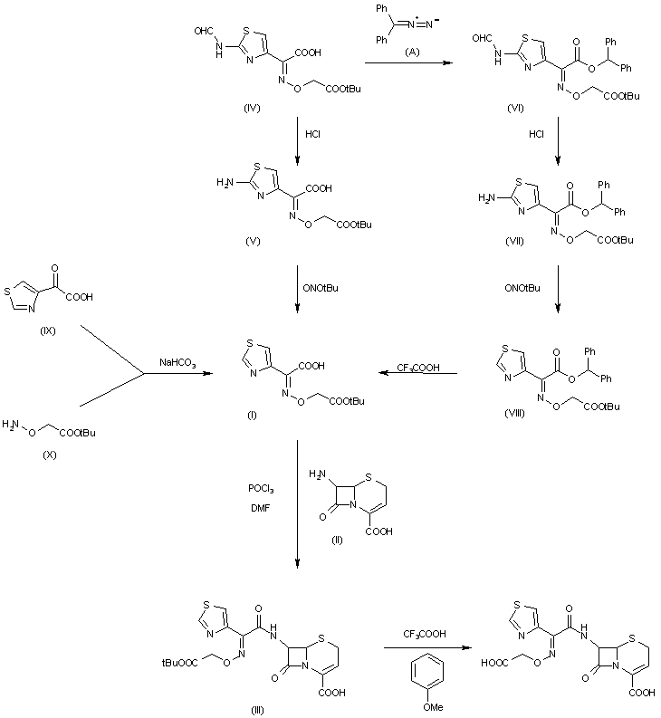
The condensation of 2-(tert-butoxycarbonylmethoxyimino)-2-(4 thiazolyl)acetic acid (I) with 7-amino 3-cephem-4-carboxylic acid (II) by means of the Vusmejer reagent (POCl3 and dimethylformamide) in ethyl acetate gives 7-[2-(tert-butoxycarbonylmethoxyimino)-2-(4-thiazolyl)acetamido]-3-cephem-4-carboxylic acid (III), which is then de protected with trifluoroacetic acid and anisole in methylene chloride. The starting acetic acid derivative (I) can be obtained by several different ways: 1) The partial hydrolysis of 2-(tert-butoxycarbonylmethoxyimino)-2-(2-formamidothiazol-4yl) acetic acid (IV) with concentrated HCl in methanol gives 2-(tert-butoxycarbonylmethoxyimino)-2-(2-aminothiazol-4-yl)acetic acid (V), which is then deaminated with tert butyl nitrite in refluxing THF. 2) The preceding deamination of (IV) can be performed in a similar way with previous esterification with diphenyldiazomethane, through compounds (VI), (VII) and (VIII). Compound (VIII) is submitted to a partial hydrolysis with trifluoroacetic acid. 3) Compound (I) can also be obtained by condensation of 2-(4-thiazolylglyoxylic acid (IX) with tert-butyl-2-(aminooxy)acetate (X) by means of NaHCO3 in ethyl acetate.

参考文献No.52684
标题:FK-089
作者:Prous, J.; Casta馿r, J.
来源:Drugs Fut 1986,11(2),103
合成路线图解说明:

The condensation of 2-(tert-butoxycarbonylmethoxyimino)-2-(4 thiazolyl)acetic acid (I) with 7-amino 3-cephem-4-carboxylic acid (II) by means of the Vusmejer reagent (POCl3 and dimethylformamide) in ethyl acetate gives 7-[2-(tert-butoxycarbonylmethoxyimino)-2-(4-thiazolyl)acetamido]-3-cephem-4-carboxylic acid (III), which is then de protected with trifluoroacetic acid and anisole in methylene chloride. The starting acetic acid derivative (I) can be obtained by several different ways: 1) The partial hydrolysis of 2-(tert-butoxycarbonylmethoxyimino)-2-(2-formamidothiazol-4yl) acetic acid (IV) with concentrated HCl in methanol gives 2-(tert-butoxycarbonylmethoxyimino)-2-(2-aminothiazol-4-yl)acetic acid (V), which is then deaminated with tert butyl nitrite in refluxing THF. 2) The preceding deamination of (IV) can be performed in a similar way with previous esterification with diphenyldiazomethane, through compounds (VI), (VII) and (VIII). Compound (VIII) is submitted to a partial hydrolysis with trifluoroacetic acid. 3) Compound (I) can also be obtained by condensation of 2-(4-thiazolylglyoxylic acid (IX) with tert-butyl-2-(aminooxy)acetate (X) by means of NaHCO3 in ethyl acetate.

Drug Information Express,Drug R&D,Chemical Database,Patent Search.
Copyright © 2006-2026 Drug Future. All rights reserved.Contact Us