【药物名称】Flomoxef sodium, FMOX, 6315-S, Flumarin
化学结构式(Chemical Structure):
参考文献No.52650
标题:Flomoxef sodium
作者:Casta馿r, J.; Serradell, M.N.
来源:Drugs Fut 1986,11(6),452
合成路线图解说明:

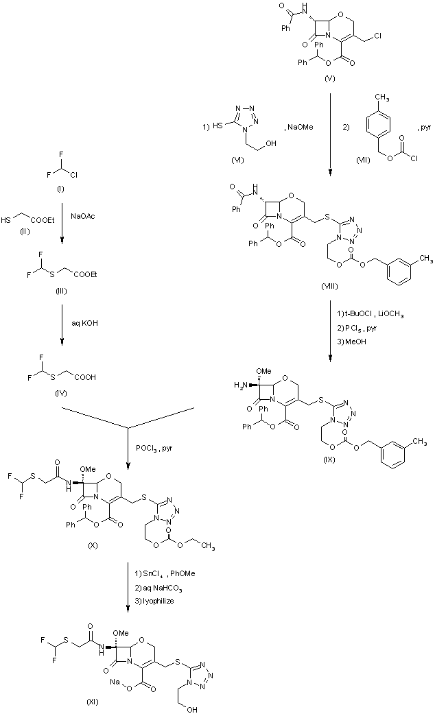
This compound can be prepared by the route shown in scheme: Reaction of chlorodifluoromethane (Freon 22) with ethyl thioglycolate (II) in the presence of ethanolic sodium ethoxide gives ethyl 2-(difluoro-methylthio)acetate (III), which is hydrolyzed with aqueous potassium hydroxide to yield 2-(difluoromethylthio)acetic acid (IV). Substitution of diphenylmethyl-7alpha-benzamido-3-chloromethyl-1-oxa-3-cephem-4-carboxylate (V), an important intermediate for production of latamoxef, with 1-(2-hydroxyethyl)-1H-tetrazole-5-thiol (VI) in the presence of sodium methoxide, followed by protection of the hydroxyl group by means of p-methylbenzyl chlorocarbonate (VII) and pyridine, gives diphenylmethyl 7alpha-benzamido-3-[[1-[2-(p-methylbenzyloxycarbonyloxy)ethyl-1H-tetrazol-5-yl]thiomethyl]-1-oxa-3-cephem-4-carboxylate (VIII). Methoxylation of (VIII) with tert-butylhypochlorite and lithium methoxide, followed by the conventional side-chain cleavage with phosphorus pentachloride pyridine methanol, affords diphenylmethyl 7beta-amino-7alpha-methoxy-3-[[1-[2-(p-methylbenzyloxycarbonyloxy)ethyl]-1H-tetrazol-5-yl]thiomethyl]-1-oxa-3-cephem-4-carboxylate (X). This amine (IX) is condensed with the acid (IV) by means of phosphoryl chloride and pyridine fo yield diphenyl-methyl 7beta[2-(dfluoromelhylthio)acetamido]-7alpha-methoxy-3-[[1-[2-(p-methylbenzyloxycarbonyloxy)ethyl]-1H-tetrazol-5 yl)thiomethyl]-1-oxa-3-cephem 4-carboxylate (X), which undergoes deprotection with stannic chloride and anisole, neutralization with aqueous sodium bicarbonate and lyophilization giving the sodium salt (XI).

参考文献No.605741
标题:Synthesis and antibacterial activity of 6315-S, a new member of the oxacephem antibiotic
作者:Tsuji, T.; Satoh, H.; Narisada, M.; Hamashima, Y.; Yoshida, T.
来源:J Antibiot 1984,38(4),466
合成路线图解说明:

This compound can be prepared by the route shown in scheme: Reaction of chlorodifluoromethane (Freon 22) with ethyl thioglycolate (II) in the presence of ethanolic sodium ethoxide gives ethyl 2-(difluoro-methylthio)acetate (III), which is hydrolyzed with aqueous potassium hydroxide to yield 2-(difluoromethylthio)acetic acid (IV). Substitution of diphenylmethyl-7alpha-benzamido-3-chloromethyl-1-oxa-3-cephem-4-carboxylate (V), an important intermediate for production of latamoxef, with 1-(2-hydroxyethyl)-1H-tetrazole-5-thiol (VI) in the presence of sodium methoxide, followed by protection of the hydroxyl group by means of p-methylbenzyl chlorocarbonate (VII) and pyridine, gives diphenylmethyl 7alpha-benzamido-3-[[1-[2-(p-methylbenzyloxycarbonyloxy)ethyl-1H-tetrazol-5-yl]thiomethyl]-1-oxa-3-cephem-4-carboxylate (VIII). Methoxylation of (VIII) with tert-butylhypochlorite and lithium methoxide, followed by the conventional side-chain cleavage with phosphorus pentachloride pyridine methanol, affords diphenylmethyl 7beta-amino-7alpha-methoxy-3-[[1-[2-(p-methylbenzyloxycarbonyloxy)ethyl]-1H-tetrazol-5-yl]thiomethyl]-1-oxa-3-cephem-4-carboxylate (X). This amine (IX) is condensed with the acid (IV) by means of phosphoryl chloride and pyridine fo yield diphenyl-methyl 7beta[2-(dfluoromelhylthio)acetamido]-7alpha-methoxy-3-[[1-[2-(p-methylbenzyloxycarbonyloxy)ethyl]-1H-tetrazol-5 yl)thiomethyl]-1-oxa-3-cephem 4-carboxylate (X), which undergoes deprotection with stannic chloride and anisole, neutralization with aqueous sodium bicarbonate and lyophilization giving the sodium salt (XI).

Drug Information Express,Drug R&D,Chemical Database,Patent Search.
Copyright © 2006-2026 Drug Future. All rights reserved.Contact Us