【药物名称】Ganciclovir, DHPG, RS-21592, BW-795, 2'-NDG, BIOLF-62, BW-759U, Cymeven, Cymevan, Citovirax, Vitrasert, Cymevene, Cytovene, Virgan
化学结构式(Chemical Structure):
参考文献No.1046
标题:Purine and pyrimidine compounds and their use as anti-viral agents
作者:Ogilvie, K.K. (Bio Logicals Inc.)
来源:EP 0049072; EP 0243670; JP 57085373; US 4347360
合成路线图解说明:

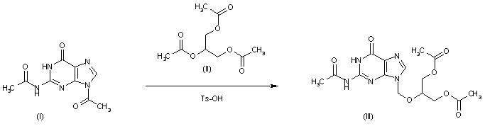
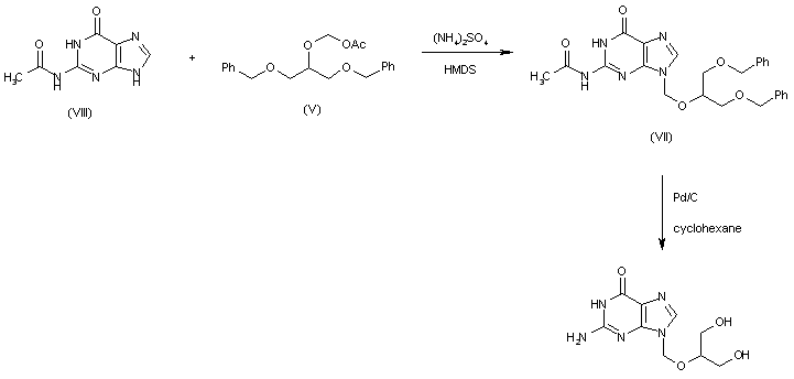
The condensation of N2-acetylguanine (VIII) with (V) by means of ammonium sulfate in refluxing HMDS gives (VII). This compound is deprotected by a treatment with palladium hydroxide in refluxing cyclohexane.

参考文献No.45212
标题:9-(1,3-Dihydroxy-2-propoxymethyl)guanine as antiviral agent
作者:Verheyden, J.P.; Martin, J.C. (Roche Bioscience)
来源:EP 0066208; JP 4217983; JP 57203086; US 4355032
合成路线图解说明:

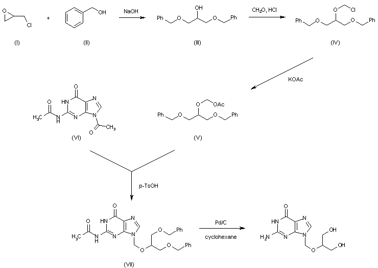
The reaction of epichlorohydrin (I) with benzyl alcohol (II) by means of NaOH in water gives 1,3-di-O-benzylglycerol (III), which is condensed with paraformaldehyde by means of HCl in methylene chloride to yield 1,3-di-O-benzyl-2-O-(chloromethyl)glycerol (IV). Acetylation of (IV) with potassium acetate in acetone affords 1,3-di-O-benzyl-2-O-(acetoxymethyl)glycerol (V), which is condensed with diacetylguanine (VI) by means of p-toluenesulfonic acid in sulfolane giving N2-acetyl-9-[[1,3-bis(benzyloxy)-2-propoxy]methyl]guanine (VII). Finally, this compound is deprotected by a treatment with palladium hydroxide in refluxing cyclohexane.

参考文献No.52645
标题:BIOLF-62
作者:Pento, J.T.; Serradell, M.N.; Casta馿r, J.
来源:Drugs Fut 1985,10(5),365
合成路线图解说明:

The reaction of epichlorohydrin (I) with benzyl alcohol (II) by means of NaOH in water gives 1,3-di-O-benzylglycerol (III), which is condensed with paraformaldehyde by means of HCl in methylene chloride to yield 1,3-di-O-benzyl-2-O-(chloromethyl)glycerol (IV). Acetylation of (IV) with potassium acetate in acetone affords 1,3-di-O-benzyl-2-O-(acetoxymethyl)glycerol (V), which is condensed with diacetylguanine (VI) by means of p-toluenesulfonic acid in sulfolane giving N2-acetyl-9-[[1,3-bis(benzyloxy)-2-propoxy]methyl]guanine (VII). Finally, this compound is deprotected by a treatment with palladium hydroxide in refluxing cyclohexane.

合成路线图解说明:

The condensation of N2-acetylguanine (VIII) with (V) by means of ammonium sulfate in refluxing HMDS gives (VII). This compound is deprotected by a treatment with palladium hydroxide in refluxing cyclohexane.

合成路线图解说明:

The condensation of 6-chloroguanine (IX) with (V) by means of ammonium sulfate in refluxing HMDS gives 9-[[1,3-bis(benzyloxy)-2-propoxy]methyl]-6-chloroguanine (XI), which is treated with sodium methoxide and mercaptoethanol in refluxing methanol to yield 9-[[1,3-bisbenzyloxy)-2-propoxy]methyl]guanine (XI), which is finally deprotected by a treatment with palladium hydroxide in refluxing cyclohexane.

合成路线图解说明:

The acetylation of 4-hydroxymethyl-1,3-dioxolane (XII) gives the corresponding acetate (XIII), which by reaction with acetic anhydride and ZnCl2 is converted to 1,3-diacetoxy-2-(acetoxymethoxy)propane (XIV). The condensation of (XIV) with diacetylguanine (VI) by means of ethanesulfonic acid (B) yields the triacetoxy precursor (XV), which is hydrolyzed with aqueous methylamine.

参考文献No.61808
标题:A process for the preparation of ganciclovir intermediate N2-acetyl-9-(1,3-diacetoxy-2-propoxymethyl)guanine
作者:Kumar, Y.; Khanduri, C.H.; Ray, P.C.; Babu, J.S. (Ranbaxy Laboratories Ltd.)
来源:WO 0333498
合成路线图解说明:

The condensation of diacetyl guanine (I) with 1,3-diacetoxy-2-(acetoxymethoxy)propane (II) by means of TsOH in hot DMF gives the target intermediate, N2-acetyl-9-[2-acetoxy-1-(acetoxymethyl)ethoxymethyl]guanine (III). (see Synthline Scheme no. 11147104a, intermediate no. (XV)).

参考文献No.70514
标题:Process for the synthesis of ganciclovir
作者:Kumar, Y.; Khanduri, C.H.; Ray, P.C.; Babu, J.S. (Ranbaxy Laboratories Ltd.)
来源:WO 0448380
合成路线图解说明:

The condensation of diacetyl guanine (I) with 1,3-diacetoxy-2-(acetoxymethoxy)propane (II) by means of TsOH in hot DMF gives the target intermediate, N2-acetyl-9-[2-acetoxy-1-(acetoxymethyl)ethoxymethyl]guanine (III). (see Synthline Scheme no. 11147104a, intermediate no. (XV)).

参考文献No.572756
标题:Synthesis of acyclovir, ganciclovir and their prodrugs: A review
作者:Gao, H.; Mitra, A.K.
来源:Synthesis 2000,(3),329
合成路线图解说明:

The acetylation of guanine (I) or guanosine (II) with acetic anhydride gives the diacetyl guanine (III), which is condensed with 1,4-diacetoxy-2-oxabutane (IV) by means of TsOH to yield N,O-diacetyl acyclovir (V). Finally, this compound is deacetylated with NH3, NaOH or pyrrolidine at room temperature, or also with refluxing glycol.

合成路线图解说明:

The reaction of 1,3-dichloro-2-propanol (I) with Bn-ONa gives 1,3-dibenzyloxy-2-propanol (II), which by reaction with paraformaldehyde and HCl is converted into the chloromethyl ether (III). The reaction of (III) with potassium acetate affords the acetoxymethyl ether (IV), which is condensed with diacetylguanine (V) by means of TsOH to provide fully protected ganciclovir (VI). Finally, this compound is debenzylated to (VII) with Pd(OH)2/cyclohexene and deacetylated with ammonia in methanol.

合成路线图解说明:

The reaction of 4-(chloromethyl)-1,3-dioxolane (I) with Ac2O, HOAc and ZnCl2 gives the diacetoxy compound (II), which is treated with KOAc to yield the triacetoxy compound (III). The condensation of (III) with diacetyl guanine (IV) by means of ethylsulfonic acid affords the triacetyl ganciclovir (V), which is finally deacetylated with methylamine in methanol.

参考文献No.604455
标题:A new nucleoside analog, 9-[(2-hydroxy-1-(hydroxymethyl)ethoxy)methyl]guanine, highly active in vitro aganist herpes simplex virus types 1 and 2
作者:Smith, K.O.; Galloway, K.S.; Kennell, W.L.; Ogilvie, K.K.; Radatus, B.K.
来源:Antimicrob Agents Chemother 1982,22(1),55-61
合成路线图解说明:

The reaction of epichlorohydrin (I) with benzyl alcohol (II) by means of NaOH in water gives 1,3-di-O-benzylglycerol (III), which is condensed with paraformaldehyde by means of HCl in methylene chloride to yield 1,3-di-O-benzyl-2-O-(chloromethyl)glycerol (IV). Acetylation of (IV) with potassium acetate in acetone affords 1,3-di-O-benzyl-2-O-(acetoxymethyl)glycerol (V), which is condensed with diacetylguanine (VI) by means of p-toluenesulfonic acid in sulfolane giving N2-acetyl-9-[[1,3-bis(benzyloxy)-2-propoxy]methyl]guanine (VII). Finally, this compound is deprotected by a treatment with palladium hydroxide in refluxing cyclohexane.

合成路线图解说明:

The condensation of N2-acetylguanine (VIII) with (V) by means of ammonium sulfate in refluxing HMDS gives (VII). This compound is deprotected by a treatment with palladium hydroxide in refluxing cyclohexane.

合成路线图解说明:

The condensation of 6-chloroguanine (IX) with (V) by means of ammonium sulfate in refluxing HMDS gives 9-[[1,3-bis(benzyloxy)-2-propoxy]methyl]-6-chloroguanine (XI), which is treated with sodium methoxide and mercaptoethanol in refluxing methanol to yield 9-[[1,3-bisbenzyloxy)-2-propoxy]methyl]guanine (XI), which is finally deprotected by a treatment with palladium hydroxide in refluxing cyclohexane.

合成路线图解说明:

The acetylation of 4-hydroxymethyl-1,3-dioxolane (XII) gives the corresponding acetate (XIII), which by reaction with acetic anhydride and ZnCl2 is converted to 1,3-diacetoxy-2-(acetoxymethoxy)propane (XIV). The condensation of (XIV) with diacetylguanine (VI) by means of ethanesulfonic acid (B) yields the triacetoxy precursor (XV), which is hydrolyzed with aqueous methylamine.

参考文献No.607673
标题:9-[(1,3-Dihydroxy-2-propoxy)methyl]guanine: A new potent and selective antiherpes agent
作者:Martin, J.C.; Dvorak, C.A.; Smee, D.F.; Matthews, T.R.; Verheyden, P.H.
来源:J Med Chem 1983,26(5),759-761
合成路线图解说明:

The reaction of epichlorohydrin (I) with benzyl alcohol (II) by means of NaOH in water gives 1,3-di-O-benzylglycerol (III), which is condensed with paraformaldehyde by means of HCl in methylene chloride to yield 1,3-di-O-benzyl-2-O-(chloromethyl)glycerol (IV). Acetylation of (IV) with potassium acetate in acetone affords 1,3-di-O-benzyl-2-O-(acetoxymethyl)glycerol (V), which is condensed with diacetylguanine (VI) by means of p-toluenesulfonic acid in sulfolane giving N2-acetyl-9-[[1,3-bis(benzyloxy)-2-propoxy]methyl]guanine (VII). Finally, this compound is deprotected by a treatment with palladium hydroxide in refluxing cyclohexane.

参考文献No.800020
标题:Biologically active acylnucleoside analogs. II. The synthesis of 9-[(2-hydroxy-1-(hydroxymethyl)ethoxy)methyl]guanine (BIOLF-62)
作者:Kennell, W.L.; Ogilvie, K.K.; Cheriyan, U.O.; Smith, K.O.; Radatus, B.K.; Galloway, K.S.
来源:Can J Chem 1982,60(24),3005
合成路线图解说明:

The condensation of N2-acetylguanine (VIII) with (V) by means of ammonium sulfate in refluxing HMDS gives (VII). This compound is deprotected by a treatment with palladium hydroxide in refluxing cyclohexane.

合成路线图解说明:

The condensation of 6-chloroguanine (IX) with (V) by means of ammonium sulfate in refluxing HMDS gives 9-[[1,3-bis(benzyloxy)-2-propoxy]methyl]-6-chloroguanine (XI), which is treated with sodium methoxide and mercaptoethanol in refluxing methanol to yield 9-[[1,3-bisbenzyloxy)-2-propoxy]methyl]guanine (XI), which is finally deprotected by a treatment with palladium hydroxide in refluxing cyclohexane.

参考文献No.800021
标题:Activation by thymidine kinase and potent antiherpetic activity of 2'-nor-2'-deoxyguanosine (2'NDG)
作者:Field, A.K.; Tolman, R.L.; Ashton, W.A.; Karkas, J.D.
来源:Biochem Biophys Res Commun 1982,108(4),1716
合成路线图解说明:

The acetylation of 4-hydroxymethyl-1,3-dioxolane (XII) gives the corresponding acetate (XIII), which by reaction with acetic anhydride and ZnCl2 is converted to 1,3-diacetoxy-2-(acetoxymethoxy)propane (XIV). The condensation of (XIV) with diacetylguanine (VI) by means of ethanesulfonic acid (B) yields the triacetoxy precursor (XV), which is hydrolyzed with aqueous methylamine.

Drug Information Express,Drug R&D,Chemical Database,Patent Search.
Copyright © 2006-2026 Drug Future. All rights reserved.Contact Us