【药物名称】Cioteronel, X-Andron, Cyoctol, CPC-10997, Cyoctol
化学结构式(Chemical Structure):
参考文献No.38876
标题:Cycloaliphatic pharmaceutical cpds.
作者:Kasha, W.J. (CBD Corp.)
来源:DE 3378265; EP 0107733; WO 8304019
合成路线图解说明:

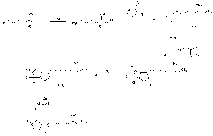
The reaction of 5-methoxyheptyl chloride (I) with magnesium in THF gives the corresponding Grignard reagent (II), which is condensed with 3-chlorocyclopentene (III) in refluxing THF to yield 3-(5-methoxy-1-heptyl)cyclopentene (IV). The cyclization of (IV) with dichloroacetyl chloride (V) by means of triethylamine in refluxing hexane affords 2-(5-methoxy-1-heptyl)-6,6-dichlorobicyclo[3.2.0]heptan-7-one (VI), which is submitted to a ring expansion with diazometane in ether giving 2-(5-methoxy-1-heptyl-6,6-dichlorobicyclo[3.3.0]octan-7-one (VII). Finally, this compound is dechlorinated with Zn in acetic acid.

参考文献No.79465
标题:Cyoctol
作者:Casta馿r, R.M.; Casta馿r, J.; Serradell, M.N.
来源:Drugs Fut 1987,12(11),1012
合成路线图解说明:

The reaction of 5-methoxyheptyl chloride (I) with magnesium in THF gives the corresponding Grignard reagent (II), which is condensed with 3-chlorocyclopentene (III) in refluxing THF to yield 3-(5-methoxy-1-heptyl)cyclopentene (IV). The cyclization of (IV) with dichloroacetyl chloride (V) by means of triethylamine in refluxing hexane affords 2-(5-methoxy-1-heptyl)-6,6-dichlorobicyclo[3.2.0]heptan-7-one (VI), which is submitted to a ring expansion with diazometane in ether giving 2-(5-methoxy-1-heptyl-6,6-dichlorobicyclo[3.3.0]octan-7-one (VII). Finally, this compound is dechlorinated with Zn in acetic acid.

Drug Information Express,Drug R&D,Chemical Database,Patent Search.
Copyright © 2006-2026 Drug Future. All rights reserved.Contact Us