【药物名称】Besigomsin, Gomisin A, Schisandrol B, TJN-101
化学结构式(Chemical Structure):
参考文献No.205119
标题:Synthesis and optically pure gomisin A and schizandrin: The first total synthesis of gomisin A and schizandrin having naturally occurring configurations
作者:Mitsuhashi, H.; Wakamatsu, T.; Mukaiyama, C.; Tanaka, M.
来源:Tetrahedron Lett 1992,33(29),4165
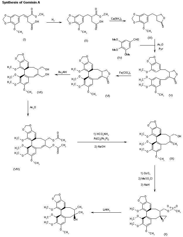
合成路线图解说明:

A total synthesis of gomisin A has been published: The asymetric hydrogenation of 2-(carboxymethyl)-3-[3-methoxy-4,5-(methylenedioxy)phenyl]-2(E)-propenoic acid methyl ester (I) gives the (S)-isomer of the saturated hemiester (II), which by reduction with calcium borohydride is converted into the lactone (III). The aldol condensation with 3,4,5-trimethoxybenzaldehyde (IV), followed by dehydration with acetic anhydride, affords the benzylidene-lactone (V). The biphenyl cyclization of (V) with ferric perchlorate in dichloromethane - trifluoroacetic acid yields the dibenzocyclooctene compound (VI) (and its regioisomer). The reduction of (VI) with dibutylaluminum hydride affords diol (VII), which is acetylated with acetic anhydride to the diacetate (VIII). The reaction of (VIII) with ammonium formate and paladium chloride-triphenylphosphine complex and then with NaOH gives the exo-methylene derivative (IX), which is epoxidized with OsO4 - methanesulfonyl chloride and NaH to the epoxide (X). Finally, this compound is deprotected and submitted to ring-opening with LiAlH4.

Drug Information Express,Drug R&D,Chemical Database,Patent Search.
Copyright © 2006-2026 Drug Future. All rights reserved.Contact Us