【药物名称】Orlistat, Orlipastat, Tetrahydrolipstatin, R-212, Ro-18-0647/002, Ro-18-0647, Xenical
化学结构式(Chemical Structure):
参考文献No.24669
标题:Process for the preparation of oxetanones
作者:Barbier, P.; Schneider, F.; Widmer, U. (F. Hoffmann-La Roche AG)
来源:EP 0189577
合成路线图解说明:

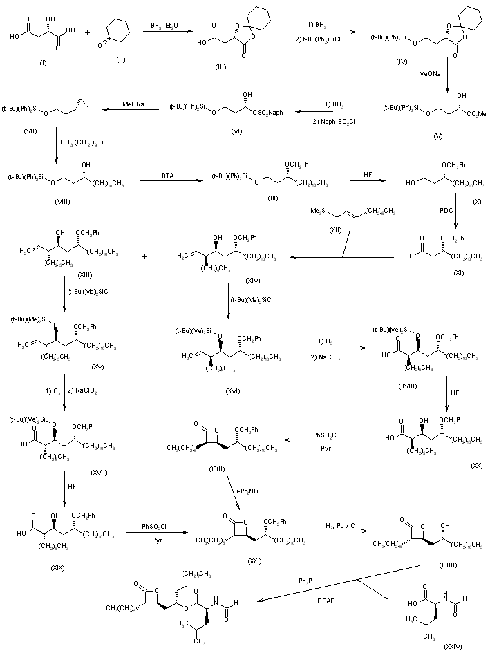
1) The condensation of (S)-L-malic acid (I) and cyclohexanone (II) by means of boron trifluoride etherate gives the cyclic lactone (III), which is reduced by borane and treated with tert-butyldiphenylchlorosilane yielding the silyl ether (IV). The transesterification of (IV) with sodium methoxide in methanol affords 4-(tert-butyldiphenylsilyloxy)-2(S)-hydroxybutyric acid methyl ester (V), which is reduced with borane as before and esterified with naphthalenesufonyl chloride to give the sulfonate (VI). The treatment of (VI) with sodium methoxide affords the epoxide (VII), which is alkylated with decyllithium yielding 1-(tert-butyldiphenylsilyloxy)tetradecan-3(R)-ol (VIII). The benzylation of (VIII) with benzyl trichloroacetimidate (BTA) gives the benzyl ether (IX), which is desilylated with HF in acetonitrile yielding 3(R)-benzyloxytetradecan-1-ol (X). The oxidation of (X) with PDC gives 3(R)-benzyloxytetradecanal (XI), which is condensed with 1-(trimethylsilyl)-2(E)-nonene (XII) by means of a titanium dichloride complex yielding the diastereoisomeric mixture of alcohols (3R,4S,6R)- (XIII) and (3S,4S,6R)- (XIV), which are separated by column chromatography. The silylation of both isomers with tert-butyldimethylsilyl chloride affords both isomers (XV) and (XVI), which are ozonolyzed with O3 and oxidized with NaClO2 to yield the corresponding acids (XVII) and (XVIII). The desilylation of (XVII) and (XVIII) with HF in acetonitrile gives the hydroxy acids (XIX) and (XX), which are cyclized by means of benzenesulfonyl chloride and pyridine to the isomeric oxetanones (XXI) and (XXII). The unwanted isomer (XXII) can be isomerized by means of lithium diisopropylamide in THF to the correct isomer (XXI). The debenzylation of (XXI) by hydrogenation with H2 over Pd/C affords (3S,4S)-3-hexyl-4-[2(R)-hydroxytridecyl]oxetan-2-one (XXIII), which is finally condensed with N-formyl-L-leucine (XXIV) by means of diethyl azodicarboxylate (DEAD) in THF.

参考文献No.245115
标题:Total synthesis of (-)-tetrahydrolipstatin
作者:Tehim, A.; Chen, P.; Hanessian, S.
来源:J Org Chem 1993,58(27),7768-81
合成路线图解说明:

1) The condensation of (S)-L-malic acid (I) and cyclohexanone (II) by means of boron trifluoride etherate gives the cyclic lactone (III), which is reduced by borane and treated with tert-butyldiphenylchlorosilane yielding the silyl ether (IV). The transesterification of (IV) with sodium methoxide in methanol affords 4-(tert-butyldiphenylsilyloxy)-2(S)-hydroxybutyric acid methyl ester (V), which is reduced with borane as before and esterified with naphthalenesufonyl chloride to give the sulfonate (VI). The treatment of (VI) with sodium methoxide affords the epoxide (VII), which is alkylated with decyllithium yielding 1-(tert-butyldiphenylsilyloxy)tetradecan-3(R)-ol (VIII). The benzylation of (VIII) with benzyl trichloroacetimidate (BTA) gives the benzyl ether (IX), which is desilylated with HF in acetonitrile yielding 3(R)-benzyloxytetradecan-1-ol (X). The oxidation of (X) with PDC gives 3(R)-benzyloxytetradecanal (XI), which is condensed with 1-(trimethylsilyl)-2(E)-nonene (XII) by means of a titanium dichloride complex yielding the diastereoisomeric mixture of alcohols (3R,4S,6R)- (XIII) and (3S,4S,6R)- (XIV), which are separated by column chromatography. The silylation of both isomers with tert-butyldimethylsilyl chloride affords both isomers (XV) and (XVI), which are ozonolyzed with O3 and oxidized with NaClO2 to yield the corresponding acids (XVII) and (XVIII). The desilylation of (XVII) and (XVIII) with HF in acetonitrile gives the hydroxy acids (XIX) and (XX), which are cyclized by means of benzenesulfonyl chloride and pyridine to the isomeric oxetanones (XXI) and (XXII). The unwanted isomer (XXII) can be isomerized by means of lithium diisopropylamide in THF to the correct isomer (XXI). The debenzylation of (XXI) by hydrogenation with H2 over Pd/C affords (3S,4S)-3-hexyl-4-[2(R)-hydroxytridecyl]oxetan-2-one (XXIII), which is finally condensed with N-formyl-L-leucine (XXIV) by means of diethyl azodicarboxylate (DEAD) in THF.

合成路线图解说明:

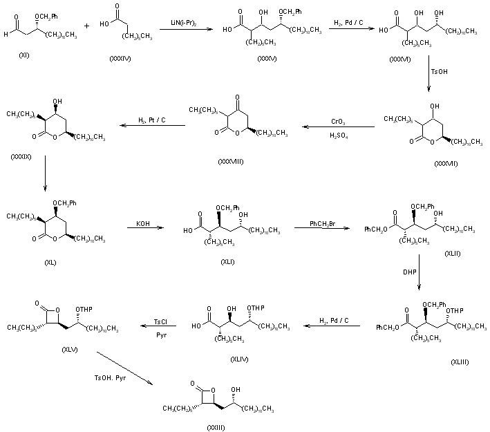
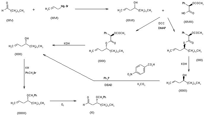
The chiral aldehyde (XI) can also be obtained as follows: The reaction of dodecanal (XXV) with allylmagnesium bromide (XXVI) in THF gives 1-pentadecen-4-ol (XXVII) as a racemic mixture, which is esterified with 2(R)-acetoxy-2-phenylacetic acid (XXVIII) by means of dicyclohexylcarbodiimide (DCC) and dimethylaminopyridine (DMAP) to yield the diastereoisomeric mixture of esters (XXIX) and (XXX), which are separated by flash chromatography. The hydrolysis of (XXIX) and (XXX) with KOH in methanol affords the alcohols (XXXI) and (XXXII). The unwanted isomer (XXXII) can be isomerized to (XXXI) through the formation of the 4-nitrobenzoyl ester and hydrolysis with K2CO3. The benzylation of (XXXI) with benzyl bromide and KH in THF gives the benzyl ether (XXXIII), which is finally ozonolyzed to the desired aldehyde (XI) with O3 in methanol-dichloromethane.

参考文献No.268392
标题:Orlistat
作者:Prous, J.; Mealy, N.; Casta馿r, J.
来源:Drugs Fut 1994,19(11),1003
合成路线图解说明:

1) The condensation of (S)-L-malic acid (I) and cyclohexanone (II) by means of boron trifluoride etherate gives the cyclic lactone (III), which is reduced by borane and treated with tert-butyldiphenylchlorosilane yielding the silyl ether (IV). The transesterification of (IV) with sodium methoxide in methanol affords 4-(tert-butyldiphenylsilyloxy)-2(S)-hydroxybutyric acid methyl ester (V), which is reduced with borane as before and esterified with naphthalenesufonyl chloride to give the sulfonate (VI). The treatment of (VI) with sodium methoxide affords the epoxide (VII), which is alkylated with decyllithium yielding 1-(tert-butyldiphenylsilyloxy)tetradecan-3(R)-ol (VIII). The benzylation of (VIII) with benzyl trichloroacetimidate (BTA) gives the benzyl ether (IX), which is desilylated with HF in acetonitrile yielding 3(R)-benzyloxytetradecan-1-ol (X). The oxidation of (X) with PDC gives 3(R)-benzyloxytetradecanal (XI), which is condensed with 1-(trimethylsilyl)-2(E)-nonene (XII) by means of a titanium dichloride complex yielding the diastereoisomeric mixture of alcohols (3R,4S,6R)- (XIII) and (3S,4S,6R)- (XIV), which are separated by column chromatography. The silylation of both isomers with tert-butyldimethylsilyl chloride affords both isomers (XV) and (XVI), which are ozonolyzed with O3 and oxidized with NaClO2 to yield the corresponding acids (XVII) and (XVIII). The desilylation of (XVII) and (XVIII) with HF in acetonitrile gives the hydroxy acids (XIX) and (XX), which are cyclized by means of benzenesulfonyl chloride and pyridine to the isomeric oxetanones (XXI) and (XXII). The unwanted isomer (XXII) can be isomerized by means of lithium diisopropylamide in THF to the correct isomer (XXI). The debenzylation of (XXI) by hydrogenation with H2 over Pd/C affords (3S,4S)-3-hexyl-4-[2(R)-hydroxytridecyl]oxetan-2-one (XXIII), which is finally condensed with N-formyl-L-leucine (XXIV) by means of diethyl azodicarboxylate (DEAD) in THF.

合成路线图解说明:

The chiral aldehyde (XI) can also be obtained as follows: The reaction of dodecanal (XXV) with allylmagnesium bromide (XXVI) in THF gives 1-pentadecen-4-ol (XXVII) as a racemic mixture, which is esterified with 2(R)-acetoxy-2-phenylacetic acid (XXVIII) by means of dicyclohexylcarbodiimide (DCC) and dimethylaminopyridine (DMAP) to yield the diastereoisomeric mixture of esters (XXIX) and (XXX), which are separated by flash chromatography. The hydrolysis of (XXIX) and (XXX) with KOH in methanol affords the alcohols (XXXI) and (XXXII). The unwanted isomer (XXXII) can be isomerized to (XXXI) through the formation of the 4-nitrobenzoyl ester and hydrolysis with K2CO3. The benzylation of (XXXI) with benzyl bromide and KH in THF gives the benzyl ether (XXXIII), which is finally ozonolyzed to the desired aldehyde (XI) with O3 in methanol-dichloromethane.

合成路线图解说明:

The oxetanone (XXIII) can also be obtained as follows: The condensation of 3(R)-benzyloxytetradecanal (XI) with octanoic acid (XXXIV) by means of lithium diisopropylamide gives 5(R)-benzyloxy-2-hexyl-3-hydroxyhexadecanoic acid (XXXV), which is deprotected by hydrogenation with H2 over Pd/C yielding the dihydroxy acid (XXXVI). The lactonization of (XXXVI) with p-toluenesulfonic acid affords the hydroxy lactone (XXXVII), which is oxidized with CrO3 H2SO4 to 3-hexyl-6(R)-undecyltetrahydropyran-2,4-dione (XXXVIII). Hydrogenation of (XXXVIII) with H2 over PtO2/C in ethylacetate gives (3S,4S,6R)-3-hexyl-4-hydroxy-6-undecyltetrahydropyran-2-one (XXXIX), which is benzylated with benzyl trichloroacetimidate to the 4-benzyloxy derivative (XL). Ring opening of (XL) with KOH in dioxane-water yields the hydroxy acid (XLI), which is esterified with benzyl bromide to the benzyl ester (XLII). The reaction of (XLII) with dihydropyran (DHP) by means of p-toluenesulfonic acid in dichloromethane affords (2S,3S,5R)-3-benzyloxy-2-hexyl-5-(tetrahydropyran-2-yloxy)hexadecanoic acid benzyl ester (XLIII), which is debenzylated by hydrogenation with H2 over Pd/C in THF to the hydroxy acid (XLIV). The cyclization of (XLIV) with p-toluenesulfonyl chloride in pyridine gives (3S,4S)-3-hexyl-4-[2(R)-(tetrahydropyran-2-yloxy)tridecyl]oxetan-2-one (XLV), which is finally deprotected with pyridinium p-toluenesulfonate in ethanol to afford the oxetanone (XXIII), already obtained in scheme 11082301a.

合成路线图解说明:

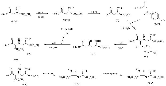
Oxetanone (XLV) can also be obtained as follows: The reaction of 3(R)-hydroxytetradecanoic acid tert-butyl ester (XLVI) with DHP and p-toluenesulfonic acid gives the corresponding tetrahydropyranyl ether (XLVII), which is reduced with dibutylaluminum hydride (DIBAL) in toluene to the aldehyde (XI), already obtained. Compound (XI) is condensed with 2-(p-toluenesulfinyl)acetic acid tert-butyl ester (XLVIII) by means of tert-butylmagnesium bromide in ether-THF affording the sulfinylhydroxy ester (II), which is treated with aluminum amalgam in THF-water to yield the hydroxy ester (L). The alkylation of (L) with hexyl bromide (LI) by means of butyllithium and diisopropylamine in THF-hexane affords 2-hexyl-3(S)-hydroxy-5(R)-(tetrahydropyranyloxy)hexadecanoic acid tert-butyl ester (LII), which is hydrolyzed with KOH in methanol to the corresponding free acid (LIII). The lactonization of (LIII) with pyridinium p-toluenesulfonate in hot ethanol affords oxetanone (LIV) as a diastereomeric mixture, which is separated by column chromatography, finally yielding oxetanone (XLV), previously obtained in scheme 11082301c.

合成路线图解说明:

A new synthesis of orlistat has been described: The ozonolysis of 3(R)-(tetrahydropyranyloxy)-6-heptenoic acid ethyl ester (LV) with O3 gives the corresponding terminal aldehyde (LVI), which is submitted to a Wittig condensation with octyl triphenylphosphonium bromide (LVII) and butyllithium in ether-THF yielding 3(R)-(tetrahydropyranyloxy)-6(Z)-tetradecenoic acid ethyl ester (LVIII). The reduction of (LVIII) with DIBAL in toluene-dichloromethane affords the corresponding aldehyde (LIX), which is condensed with octanoic acid (XXXIV) by means of butyllithium and diisopropylamine in THF to give 2-hexyl-3-hydroxy-5(R)-(tetrahydropyranyloxy)-8(Z)-hexadecenoic acid (LX), which is lactonized with benzenesulfonyl chloride in pyridine to the protected oxetanone (LXI). The deprotection of (LXI) with pyridinium p-toluenesulfonate in hot ethanol affords 3-hexyl-4-[2(R)-hydroxy-5(Z)-tridecenyl]oxetan-2-one (LXII) as a mixture of diastereomers, which are separated by column chromatography yielding the (3S,4S,2'R)-isomer (LXIII). The condensation of (LXIII) with N-formyl-L-leucine (XXIV) as before gives dihydrolipstatin (LXIV), which is finally hydrogenated with H2 over Pd/C in THF.

合成路线图解说明:

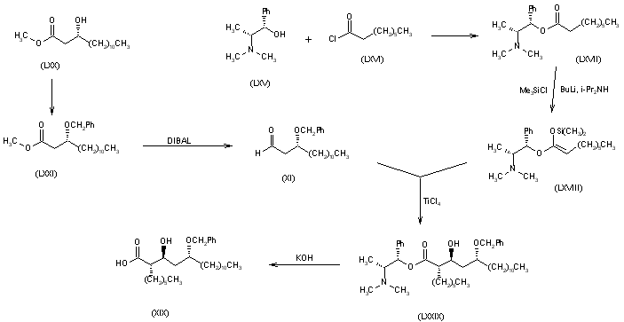
The esterification of optical active (-)-N-methylephedrine (LXV) with octanoyl chloride (LXVI) in tert-butyl methyl ether gives the corresponding ester (LXVII), which is treated with trimethylsilyl chloride and butyllithium-diisopropylamine in THF to yield the enolic trimethylsilyl ether (LXVIII). The condensation of (LXVIII) with the previously obtained aldehyde, 3(R)-(benzyloxy)tetradecanal (XI) (scheme 11082301a), by means of TiCl4 in dichloromethane affords, after chromatography, (2S,3S,5R)-5-(benzyloxy)-2-hexyl-3-hydroxyhexadecanoic acid 2(S)-(dimethylamino)-1(R)-phenylpropyl ester (LXIX), which is finally hydrolyzed with methanolic KOH to (2S,3S,5R)-5-(benzyloxy)-2-hexyl-3-hydroxy-hexadecanoic acid (XIX), obtained in scheme 11082301a. The previously obtained 3(R)-(benzyloxy)tetradecanal (XI) can also be obtained by benzylation of 3(R)-hydroxytetradecanoic acid methyl ester (LXX) as usual, to the protected (LXXI), which is then reduced with DIBAL as before. Tetrahydrolipstatin can also be obtained from natural lipstatin by hydrogenation with H2 over Pd/C in ethanol.

参考文献No.283352
标题:Syntheses of tetrahydrolipstatin and absolute configuration of tetrahydrolipstatin and lipstatin
作者:Barbier, P.; Schneider, F.
来源:Helv Chim Acta 1987,70196-202
合成路线图解说明:

A new synthesis of orlistat has been described: The ozonolysis of 3(R)-(tetrahydropyranyloxy)-6-heptenoic acid ethyl ester (LV) with O3 gives the corresponding terminal aldehyde (LVI), which is submitted to a Wittig condensation with octyl triphenylphosphonium bromide (LVII) and butyllithium in ether-THF yielding 3(R)-(tetrahydropyranyloxy)-6(Z)-tetradecenoic acid ethyl ester (LVIII). The reduction of (LVIII) with DIBAL in toluene-dichloromethane affords the corresponding aldehyde (LIX), which is condensed with octanoic acid (XXXIV) by means of butyllithium and diisopropylamine in THF to give 2-hexyl-3-hydroxy-5(R)-(tetrahydropyranyloxy)-8(Z)-hexadecenoic acid (LX), which is lactonized with benzenesulfonyl chloride in pyridine to the protected oxetanone (LXI). The deprotection of (LXI) with pyridinium p-toluenesulfonate in hot ethanol affords 3-hexyl-4-[2(R)-hydroxy-5(Z)-tridecenyl]oxetan-2-one (LXII) as a mixture of diastereomers, which are separated by column chromatography yielding the (3S,4S,2'R)-isomer (LXIII). The condensation of (LXIII) with N-formyl-L-leucine (XXIV) as before gives dihydrolipstatin (LXIV), which is finally hydrogenated with H2 over Pd/C in THF.

参考文献No.283353
标题:Stereoselective syntheses of tetrahydrolipstatin and of an analogue, potent pancreatic-lipase inhibitors containing a beta-lactone moiety
作者:Barbier, P.; Widmer, U.; Schneider, F.
来源:Helv Chim Acta 1987,701412-8
合成路线图解说明:

The esterification of optical active (-)-N-methylephedrine (LXV) with octanoyl chloride (LXVI) in tert-butyl methyl ether gives the corresponding ester (LXVII), which is treated with trimethylsilyl chloride and butyllithium-diisopropylamine in THF to yield the enolic trimethylsilyl ether (LXVIII). The condensation of (LXVIII) with the previously obtained aldehyde, 3(R)-(benzyloxy)tetradecanal (XI) (scheme 11082301a), by means of TiCl4 in dichloromethane affords, after chromatography, (2S,3S,5R)-5-(benzyloxy)-2-hexyl-3-hydroxyhexadecanoic acid 2(S)-(dimethylamino)-1(R)-phenylpropyl ester (LXIX), which is finally hydrolyzed with methanolic KOH to (2S,3S,5R)-5-(benzyloxy)-2-hexyl-3-hydroxy-hexadecanoic acid (XIX), obtained in scheme 11082301a. The previously obtained 3(R)-(benzyloxy)tetradecanal (XI) can also be obtained by benzylation of 3(R)-hydroxytetradecanoic acid methyl ester (LXX) as usual, to the protected (LXXI), which is then reduced with DIBAL as before. Tetrahydrolipstatin can also be obtained from natural lipstatin by hydrogenation with H2 over Pd/C in ethanol.

参考文献No.543244
标题:Synthesis of enantiomerically pure beta-lactones by the tandem aldol - Lactonization. A highly efficient access to (3S,4S)-3-hexyl-4-[(2S)-2-hydroxytridencyl]oxetan-2-one, the key intermediate for the enzyme inhibitors tetrahydrolipstatin and tetrahydroes
作者:Wedler, C.; et al.
来源:J Org Chem 1999,64(14),5301
合成路线图解说明:

synthesis of (3S,4S)-3-hexyl-4-[2(S)-hydroxytridecyl]oxetan-2-one (VI), a key intermediate in the synthesis of orlistat has been reported: Reaction of methyl 3(S)-hydroxytetradecanoate (I) with 2-methoxypropene (II) by means of pyridinium p-toluenesulfonate gives the protected ester (III), which is reduced with DIBAL to the aldehyde (IV). Finally, aldehyde (IV) is condensed with the lithium amide-enolate (V) generated from 1-octanoylbenzotriazole and LiHMDS, resulting in a 4:1 mixture of diastereomeric oxetanones (VI) and (VII) separated by flash chromatography.

参考文献No.590014
标题:Asymmetric synthesis of (-)-tetrahydrolipstatin: An anti-aldol-based strategy
作者:Ghosh, A.K.; Fidanze, S.
来源:Org Lett 2000,2(16),2405
合成路线图解说明:

A new asymmetric synthesis of orlistat has been described: Reaction of the chiral aminoindanol (I) with octanoyl chloride (II) in pyridine gives the chiral ester (III), which is condensed with cinnamaldehyde (IV) by means of TiCl4, DIEA and Bu2BOTf in dichloromethane yielding, after chromatographic purification, the anti-aldol adduct (V). Hydrolysis of the chiral auxiliary of (V) with lithium hydroperoxide affords the beta-hydroxy acid (VI), which is protected as the 1,3-dioxan-4-one (VIII) by reaction with pivalaldehyde (VII), TMS-OTf and isopropoxytrimethylsilane (TMS-O-i-Pr). Ozonolysis of (VIII) with O3 in dichloromethane yields the aldehyde (IX), which is condensed with 1-nitrododecane (X) by means of TBAF in DMF to provide the nitroaldol (XI). The dehydration of (XI) with DCC and CuCl in hot acetonitrile gives the nitroalkene (XII), which is reduced with Zn/HOAc to oxime (XIII). Oxidative hydrolysis of (XIII) with ceric ammonium nitrate (CAN) and HNO3 yields diketone (XIV), which is hydrolyzed with HCl in THF providing the beta-hydroxy acid (XV). Esterification of (XV) with benzyl iodide and CsCO3 gives the benzyl ester (XVI), which is estereoselectively reduced with Me4NB(OAc)3H in HOAc/acetonitrile yielding the chiral anti-1,3-diol (XVII). The selective protection of (XVII) with TIPS-OTf and 2,6-lutidine affords the monosilylated ester (XVIII), which is treated with H2 over Pd(OH)2 in ethyl acetate/methanol to furnish the free beta-hydroxy acid (XIX). Cyclization of acid (XIX) by means of PhSO2Cl in pyridine affords the beta-lactone (XX), which is desilylated with TBAF and HOAc in THF giving lactone (XXI). Finally, lactone (XXI) is esterified under Mitsunobu conditions with N-formyl-L-leucine (XXII) by means of DIAD and PPh3 in THF.

参考文献No.600135
标题:Construction of an enatiomerically pure 6-substituted 3,5-syn-dihydroxyhexanoic acid system by an enatioselective deprotonation strategy: Formal synthesis of an antiobesity agent, (-)-tetrahydrolipstatin
作者:Honda, T.; Endo, K.; Ono, S.
来源:Chem Pharm Bull 2000,48(10),1545
合成路线图解说明:

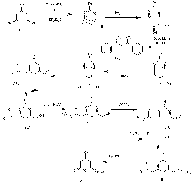
The reaction of cyclohexane-1,3,5-triol (I) with trimethyl orthobenzoate (II) by means of BF3/Et2O gives the cyclic orthoester (III), which is partially reduced with borane in THF to yield the alcohol (IV). Oxidation with Dess-Martin periodinane affords cyclohexanone (V), which is enantioselectively deprotonated with the chiral lithium (S,S')-alpha,alpha'-dimethyldibenzylamide (VI) in the presence of Tms-Cl in THF to provide the chiral silylated enol ether (VII). Ozonolysis of the double bond of (VII) gives the 6-oxohexanoic acid (VIII), which is reduced with NaBH4 to the corresponding hydroxyacid (IX). The methylation of (IX) with methyl iodide and K2CO3 yields the hydroxyester (X), which is oxidized with oxalyl chloride in DMSO to afford the oxoester (XI). The Wittig condensation of (XI) with decyltriphenylphosphonium bromide (XII) by means of BuLi in THF provides the unsaturated hexadecenoic ester (XIII), which is finally reduced, deprotected and cyclized by treatment with H2 over Pd/C in acetic acid to furnish the target (4S,6S)-4-hydroxy-6-undecyltetrahydrofuran-2-one (XIV). The conversion of (XIV) into tetrahydrolipstatin has already been described in scheme 11082304a.

参考文献No.608279
标题:A stereoselective synthesis of (-)-tetrahydrolipstatin
作者:Ghosh, A.K.; Liu, C.
来源:Chem Commun (London) 1999,1743
合成路线图解说明:

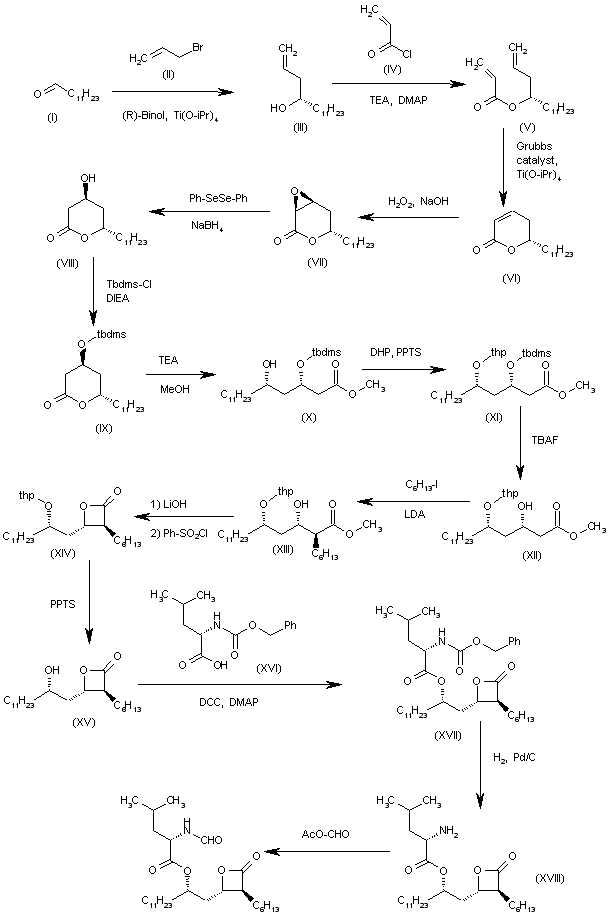
The Keck's enantioselective allylation of dodecanal (I) with allyl bromide (II) employing a catalytic amount of (R)-BINOL and titanium tetraisopropoxide furnishes the chiral alcohol (III), which is esterified with acryloyl chloride (IV), TEA and DMAP to give the acrylate (V). The olefin metathesis of (V) by means of Grubbs' catalyst and Ti(O-iPr)4 in refluxing dichloromethane yields the dihydropyranone (VI), which is epoxidized with H2O2 and NaOH to afford the chiral epoxide (VII). The reductive cleavage of (VII) with diphenyl diselenide and NaBH4 gives the chiral tetrahydropyranone (VIII), which is silylated with Tbdms-Cl and DIEA, yielding the silyl ether (IX). Opening of the lactone ring of (IX) with TEA and methanol affords the hydroxyester (X), which is treated with dihydropyran and PPTS to provide the tetrahydropyranyl ether (XI). The desilylation of (XI) with TBAF in THF gives the beta-hydroxyester (XII), which is alkylated with hexyl iodide and LDA in THF, yielding the adduct (XIII). The cyclization of (XIII) by hydrolysis with LiOH, followed by treatment with Ph-SO2-Cl, affords the beta-lactone (XIV), which is treated with PPTS to eliminate the tetrahydropyranyl-protecting group and yield the secondary alcohol (XV). The esterification of (XV) with N-(benzyloxycarbonyl)-L-leucine (XVI) by means of DCC and DMAP affords the leucinate (XVII), which is deprotected with H2 over Pd/C, affording (XVIII) with a free amino group that is formylated with acetic formic mixed anhydride to furnish the target (-)-tetrahydrolipstatin.

合成路线图解说明:

The reaction of cyclohexane-1,3,5-triol (I) with trimethyl orthobenzoate (II) by means of BF3/Et2O gives the cyclic orthoester (III), which is partially reduced with borane in THF to yield the alcohol (IV). Oxidation with Dess-Martin periodinane affords cyclohexanone (V), which is enantioselectively deprotonated with the chiral lithium (S,S')-alpha,alpha'-dimethyldibenzylamide (VI) in the presence of Tms-Cl in THF to provide the chiral silylated enol ether (VII). Ozonolysis of the double bond of (VII) gives the 6-oxohexanoic acid (VIII), which is reduced with NaBH4 to the corresponding hydroxyacid (IX). The methylation of (IX) with methyl iodide and K2CO3 yields the hydroxyester (X), which is oxidized with oxalyl chloride in DMSO to afford the oxoester (XI). The Wittig condensation of (XI) with decyltriphenylphosphonium bromide (XII) by means of BuLi in THF provides the unsaturated hexadecenoic ester (XIII), which is finally reduced, deprotected and cyclized by treatment with H2 over Pd/C in acetic acid to furnish the target (4S,6S)-4-hydroxy-6-undecyltetrahydrofuran-2-one (XIV). The conversion of (XIV) into tetrahydrolipstatin has already been described in scheme 11082304a.

参考文献No.725610
标题:The total synthesis of (-)-tetrahydrolipstatin
作者:Bodkin, J.A.; Humphries, E.J.; McLeod, M.D.
来源:Tetrahedron Lett 2003,44(14),2869
合成路线图解说明:

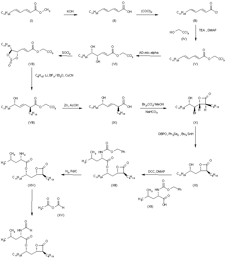
The hydrolysis of methyl (2E, 4E)-hexadecadienoate (I) with KOH in THF gives the corresponding free acid (II), which is treated with (COCl)2 in dichloromethane to yield the acid chloride (III). The esterification of (III) with trichloroethanol (IV), TEA and DMAP affords the trichloroethyl ester (V), which is stereospecifically dihydroxylated by means of AD-mix-alpha, methanesulfonamide and NaHCO3 in t-butanol/water to provide the dihydroxyester (VI). The reaction of (VI) with SOCl2 in refluxing CCl4 gives the cyclic sulfite (VII), which is alkylated by means of CuCN, Li-C6H13 and BF3/Et2O in THF to give 5(S)-hydroxy-2(S)-hexyl-3(E)-hexadecanoic acid trichloroethyl ester (VIII). The cleavage of the ester group of (VIII) by means of Zn/AcOH yields the corresponding free acid (IX), which is submitted to cyclization by reaction with Br2 in CCl4/MeOH in the presence of NaHCO3 to afford the brominated beta lactone (X). Radical debromination of (X) by means of di-tert-butyl peroxide (DBPO), Ph2Se2, and Bu3SnH in toluene provides the beta lactone (XI), which is condensed with N-(benzyloxycarbonyl)-L-leucine (XII) by means of DCC and DMAP in dichloromethane to furnish the ester (XIII). The cleavage of the Boc group of (XIII) by means of H2 over Pd/C in THF gives the free amino acid ester (XIV), which is finally N-formylated by means of acetic formic anhydride (XV) in ethyl ether to yield the target tetrahydrolipstatin.

参考文献No.801706
标题:Synthesis of tetrahydrolipstatin and tetrahydroesterastin, compounds with beta-lactone moiety. Stereoselective hydrogenation of a beta-keto delta-lactone and conversion of the delta-lactone into a beta-lactone
作者:Barbier, P.; Schneider, F.
来源:J Org Chem 1988,53(6),1218-21
合成路线图解说明:

The oxetanone (XXIII) can also be obtained as follows: The condensation of 3(R)-benzyloxytetradecanal (XI) with octanoic acid (XXXIV) by means of lithium diisopropylamide gives 5(R)-benzyloxy-2-hexyl-3-hydroxyhexadecanoic acid (XXXV), which is deprotected by hydrogenation with H2 over Pd/C yielding the dihydroxy acid (XXXVI). The lactonization of (XXXVI) with p-toluenesulfonic acid affords the hydroxy lactone (XXXVII), which is oxidized with CrO3 H2SO4 to 3-hexyl-6(R)-undecyltetrahydropyran-2,4-dione (XXXVIII). Hydrogenation of (XXXVIII) with H2 over PtO2/C in ethylacetate gives (3S,4S,6R)-3-hexyl-4-hydroxy-6-undecyltetrahydropyran-2-one (XXXIX), which is benzylated with benzyl trichloroacetimidate to the 4-benzyloxy derivative (XL). Ring opening of (XL) with KOH in dioxane-water yields the hydroxy acid (XLI), which is esterified with benzyl bromide to the benzyl ester (XLII). The reaction of (XLII) with dihydropyran (DHP) by means of p-toluenesulfonic acid in dichloromethane affords (2S,3S,5R)-3-benzyloxy-2-hexyl-5-(tetrahydropyran-2-yloxy)hexadecanoic acid benzyl ester (XLIII), which is debenzylated by hydrogenation with H2 over Pd/C in THF to the hydroxy acid (XLIV). The cyclization of (XLIV) with p-toluenesulfonyl chloride in pyridine gives (3S,4S)-3-hexyl-4-[2(R)-(tetrahydropyran-2-yloxy)tridecyl]oxetan-2-one (XLV), which is finally deprotected with pyridinium p-toluenesulfonate in ethanol to afford the oxetanone (XXIII), already obtained in scheme 11082301a.

合成路线图解说明:

Oxetanone (XLV) can also be obtained as follows: The reaction of 3(R)-hydroxytetradecanoic acid tert-butyl ester (XLVI) with DHP and p-toluenesulfonic acid gives the corresponding tetrahydropyranyl ether (XLVII), which is reduced with dibutylaluminum hydride (DIBAL) in toluene to the aldehyde (XI), already obtained. Compound (XI) is condensed with 2-(p-toluenesulfinyl)acetic acid tert-butyl ester (XLVIII) by means of tert-butylmagnesium bromide in ether-THF affording the sulfinylhydroxy ester (II), which is treated with aluminum amalgam in THF-water to yield the hydroxy ester (L). The alkylation of (L) with hexyl bromide (LI) by means of butyllithium and diisopropylamine in THF-hexane affords 2-hexyl-3(S)-hydroxy-5(R)-(tetrahydropyranyloxy)hexadecanoic acid tert-butyl ester (LII), which is hydrolyzed with KOH in methanol to the corresponding free acid (LIII). The lactonization of (LIII) with pyridinium p-toluenesulfonate in hot ethanol affords oxetanone (LIV) as a diastereomeric mixture, which is separated by column chromatography, finally yielding oxetanone (XLV), previously obtained in scheme 11082301c.

Drug Information Express,Drug R&D,Chemical Database,Patent Search.
Copyright © 2006-2026 Drug Future. All rights reserved.Contact Us