【药物名称】RWJ-26240, McN-5691
化学结构式(Chemical Structure):
参考文献No.2022
标题:Aralkyl(arylethynyl)aralkyl amines for use as vasodilators and antihypertensives
作者:Carson, J.R. (McNeilab, Inc.)
来源:EP 0146271; ES 8604488; US 4661635
合成路线图解说明:

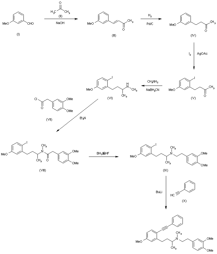
The condensation of 3-methoxybenzaldehyde (I) with acetone (II) by means of NaOH gives 1-(3-methoxyphenyl)-1-buten-3-one (III), which is hydrogenated with H2 over Pd/C in methanol yielding 1-(3-methoxyphenyl)-3-butanone (IV). The iodination of (IV) with I2-silver acetate in acetic acid affords 1-(2-iodo-5-methoxyphenyl)-3-butanone (V), which is reductocondensed with methylamine and sodium cyanoborohydride in methanol giving 2-iodo-5-methoxy-N,alpha-dimethylphenylpropanamine (VI). The acylation of (VI) with 3,4-dimethoxyphenylacetyl chloride (VII) by means of triethylamine in dichloromethane yields the corresponding acetamide (VIII), which is reduced with borane-THF complex affording the corresponding tertiary amine (IX), which is finally condensed with phenylacetylene (X) by means of butyllithium in THF.

参考文献No.79244
标题:McN-5691
作者:Prous, J.; Casta馿r, J.
来源:Drugs Fut 1989,14(4),322
合成路线图解说明:

The condensation of 3-methoxybenzaldehyde (I) with acetone (II) by means of NaOH gives 1-(3-methoxyphenyl)-1-buten-3-one (III), which is hydrogenated with H2 over Pd/C in methanol yielding 1-(3-methoxyphenyl)-3-butanone (IV). The iodination of (IV) with I2-silver acetate in acetic acid affords 1-(2-iodo-5-methoxyphenyl)-3-butanone (V), which is reductocondensed with methylamine and sodium cyanoborohydride in methanol giving 2-iodo-5-methoxy-N,alpha-dimethylphenylpropanamine (VI). The acylation of (VI) with 3,4-dimethoxyphenylacetyl chloride (VII) by means of triethylamine in dichloromethane yields the corresponding acetamide (VIII), which is reduced with borane-THF complex affording the corresponding tertiary amine (IX), which is finally condensed with phenylacetylene (X) by means of butyllithium in THF.

参考文献No.106267
标题:2-Ethynylbenzenealkanamines. A new class of calcium entry blockers
作者:Carson, J.R.; Almond, H.R.; Brannan, M.D.; et al.
来源:J Med Chem 1988,31(3),630-6
合成路线图解说明:

The condensation of 3-methoxybenzaldehyde (I) with acetone (II) by means of NaOH gives 1-(3-methoxyphenyl)-1-buten-3-one (III), which is hydrogenated with H2 over Pd/C in methanol yielding 1-(3-methoxyphenyl)-3-butanone (IV). The iodination of (IV) with I2-silver acetate in acetic acid affords 1-(2-iodo-5-methoxyphenyl)-3-butanone (V), which is reductocondensed with methylamine and sodium cyanoborohydride in methanol giving 2-iodo-5-methoxy-N,alpha-dimethylphenylpropanamine (VI). The acylation of (VI) with 3,4-dimethoxyphenylacetyl chloride (VII) by means of triethylamine in dichloromethane yields the corresponding acetamide (VIII), which is reduced with borane-THF complex affording the corresponding tertiary amine (IX), which is finally condensed with phenylacetylene (X) by means of butyllithium in THF.

Drug Information Express,Drug R&D,Chemical Database,Patent Search.
Copyright © 2006-2026 Drug Future. All rights reserved.Contact Us