【药物名称】IPdR
化学结构式(Chemical Structure):
参考文献No.563498
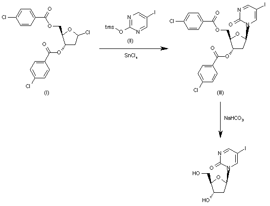
标题:Improved stereoselective synthesis of the beta-anomer of 1-[3,5-bis-O-(p-chlorobenzoyl)-2-deoxy-D-ribofuranosyl]-5-iodo-2-pyrimidinone
作者:Schure, R.; et al.
来源:Org Process Res Dev 1999,3(2),135
合成路线图解说明:

The condensation of 2-(trimethylsilyloxy)-5-iodopyrimidine (II) with the protected sugar chloride (I) by means of SnCl4 in 1,2-dichloroethane gives the pyrimidinone (II), which is finally deprotected by means of NaHCO3 in methylene chloride/water and isolated from a minor amount of the alpha-isomer by crystallization from ethyl acetate.

Drug Information Express,Drug R&D,Chemical Database,Patent Search.
Copyright © 2006-2026 Drug Future. All rights reserved.Contact Us