【药物名称】Atofluding, A-OT
化学结构式(Chemical Structure):
参考文献No.2609
标题:Uracil derivs., process for preparing the same, and oncotic preparation thereof
作者:Okada, T.
来源:JP 1979135782; WO 7900922
合成路线图解说明:

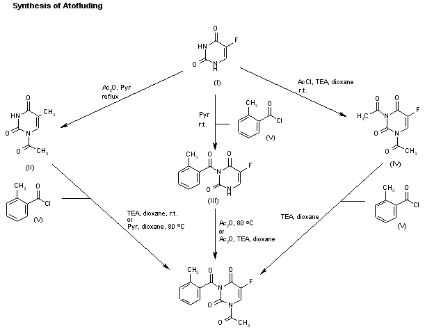
Atofluding can be prepared by several similar ways: a) Acylation of 5-fluorouracil (I) with acetic anhydride in refluxing pyridine gives 1-acetyl-5-fluorouracil (II), which is then acylated with 2-methylbenzoyl chloride (V) by means of either TEA in dioxane at room temperature or pyridine in dioxane at 80 C. b) Acylation of 5-fluorouracil (I) with 2-methylbenzoyl chloride (V) in pyridine at room temperature yields 5-fluoro-3-(2-methylbenzoyl)uracil (III), which is then acylated with acetic anhydride at 80 C or with acetic anhydride by means of TEA in cooled dioxane. c) Acylation of 5-fluorouracil (I) with acetyl chloride by means of TEA in dioxane at room temperature provides 1,3-diacetyl-5-fluorouracil (IV), which is then acytated with 2-methylbenzoyl chloride (V) by means of TEA in dioxane.

参考文献No.51681
标题:Preparation of thymidine and deoxyfluorouridine, and intermediates therefor
作者:Hoffer, M. (Hoffmann-La Roche, Inc.)
来源:US 2949451
合成路线图解说明:

Atofluding can be prepared by several similar ways: a) Acylation of 5-fluorouracil (I) with acetic anhydride in refluxing pyridine gives 1-acetyl-5-fluorouracil (II), which is then acylated with 2-methylbenzoyl chloride (V) by means of either TEA in dioxane at room temperature or pyridine in dioxane at 80 C. b) Acylation of 5-fluorouracil (I) with 2-methylbenzoyl chloride (V) in pyridine at room temperature yields 5-fluoro-3-(2-methylbenzoyl)uracil (III), which is then acylated with acetic anhydride at 80 C or with acetic anhydride by means of TEA in cooled dioxane. c) Acylation of 5-fluorouracil (I) with acetyl chloride by means of TEA in dioxane at room temperature provides 1,3-diacetyl-5-fluorouracil (IV), which is then acytated with 2-methylbenzoyl chloride (V) by means of TEA in dioxane.

参考文献No.51682
标题:Mercury salts of nitrogen heterocyclics and preparation thereof
作者:Hoffer, M. (Hoffmann-La Roche, Inc.)
来源:US 3041335
合成路线图解说明:

Atofluding can be prepared by several similar ways: a) Acylation of 5-fluorouracil (I) with acetic anhydride in refluxing pyridine gives 1-acetyl-5-fluorouracil (II), which is then acylated with 2-methylbenzoyl chloride (V) by means of either TEA in dioxane at room temperature or pyridine in dioxane at 80 C. b) Acylation of 5-fluorouracil (I) with 2-methylbenzoyl chloride (V) in pyridine at room temperature yields 5-fluoro-3-(2-methylbenzoyl)uracil (III), which is then acylated with acetic anhydride at 80 C or with acetic anhydride by means of TEA in cooled dioxane. c) Acylation of 5-fluorouracil (I) with acetyl chloride by means of TEA in dioxane at room temperature provides 1,3-diacetyl-5-fluorouracil (IV), which is then acytated with 2-methylbenzoyl chloride (V) by means of TEA in dioxane.

参考文献No.51683
标题:Process to obtain a new 5-fluorouracil deriv.
作者:Okada, T.; Palleja Mart韓ez, J.
来源:ES 2015151
合成路线图解说明:

Atofluding can be prepared by several similar ways: a) Acylation of 5-fluorouracil (I) with acetic anhydride in refluxing pyridine gives 1-acetyl-5-fluorouracil (II), which is then acylated with 2-methylbenzoyl chloride (V) by means of either TEA in dioxane at room temperature or pyridine in dioxane at 80 C. b) Acylation of 5-fluorouracil (I) with 2-methylbenzoyl chloride (V) in pyridine at room temperature yields 5-fluoro-3-(2-methylbenzoyl)uracil (III), which is then acylated with acetic anhydride at 80 C or with acetic anhydride by means of TEA in cooled dioxane. c) Acylation of 5-fluorouracil (I) with acetyl chloride by means of TEA in dioxane at room temperature provides 1,3-diacetyl-5-fluorouracil (IV), which is then acytated with 2-methylbenzoyl chloride (V) by means of TEA in dioxane.

参考文献No.51684
标题:Process to obtain new 5-fluorouracil derivs., specifically N1-acyl-substd.-N3-ortho-toluyl-5-fluorouracils
作者:Palleja Mart韓ez, J.; Okada, T.
来源:ES 2015772
合成路线图解说明:

Atofluding can be prepared by several similar ways: a) Acylation of 5-fluorouracil (I) with acetic anhydride in refluxing pyridine gives 1-acetyl-5-fluorouracil (II), which is then acylated with 2-methylbenzoyl chloride (V) by means of either TEA in dioxane at room temperature or pyridine in dioxane at 80 C. b) Acylation of 5-fluorouracil (I) with 2-methylbenzoyl chloride (V) in pyridine at room temperature yields 5-fluoro-3-(2-methylbenzoyl)uracil (III), which is then acylated with acetic anhydride at 80 C or with acetic anhydride by means of TEA in cooled dioxane. c) Acylation of 5-fluorouracil (I) with acetyl chloride by means of TEA in dioxane at room temperature provides 1,3-diacetyl-5-fluorouracil (IV), which is then acytated with 2-methylbenzoyl chloride (V) by means of TEA in dioxane.

参考文献No.636126
标题:Studies on the synthesis of chemotherapeutics. 10. Synthesis and antitumor activity of N-acyl- and N-(alkoxycarbonyl)-5-fluorouracil derivatives
作者:Kametani, T.; Kigasawa, K.; Hiiragi, M.; Wakisaka, K.; Haga, S.; Nagamatsu, Y.; Sugi, H.; Fukawa, K.; Irino, O.; Yamamoto, T.; Nishimura, N.; Taguchi, A.; Okada, T.; Nakayama, M.
来源:J Med Chem 1980,23(12),1324
合成路线图解说明:

Atofluding can be prepared by several similar ways: a) Acylation of 5-fluorouracil (I) with acetic anhydride in refluxing pyridine gives 1-acetyl-5-fluorouracil (II), which is then acylated with 2-methylbenzoyl chloride (V) by means of either TEA in dioxane at room temperature or pyridine in dioxane at 80 C. b) Acylation of 5-fluorouracil (I) with 2-methylbenzoyl chloride (V) in pyridine at room temperature yields 5-fluoro-3-(2-methylbenzoyl)uracil (III), which is then acylated with acetic anhydride at 80 C or with acetic anhydride by means of TEA in cooled dioxane. c) Acylation of 5-fluorouracil (I) with acetyl chloride by means of TEA in dioxane at room temperature provides 1,3-diacetyl-5-fluorouracil (IV), which is then acytated with 2-methylbenzoyl chloride (V) by means of TEA in dioxane.

参考文献No.639602
标题:Atofluding
作者:Casta馿r, J.; Zhang, Z.; Xu, W.
来源:Drugs Fut 2001,26(10),935
合成路线图解说明:

Atofluding can be prepared by several similar ways: a) Acylation of 5-fluorouracil (I) with acetic anhydride in refluxing pyridine gives 1-acetyl-5-fluorouracil (II), which is then acylated with 2-methylbenzoyl chloride (V) by means of either TEA in dioxane at room temperature or pyridine in dioxane at 80 C. b) Acylation of 5-fluorouracil (I) with 2-methylbenzoyl chloride (V) in pyridine at room temperature yields 5-fluoro-3-(2-methylbenzoyl)uracil (III), which is then acylated with acetic anhydride at 80 C or with acetic anhydride by means of TEA in cooled dioxane. c) Acylation of 5-fluorouracil (I) with acetyl chloride by means of TEA in dioxane at room temperature provides 1,3-diacetyl-5-fluorouracil (IV), which is then acytated with 2-methylbenzoyl chloride (V) by means of TEA in dioxane.

Drug Information Express,Drug R&D,Chemical Database,Patent Search.
Copyright © 2006-2026 Drug Future. All rights reserved.Contact Us