【药物名称】Pranoprofen, Y-8004, Pransus, Niflan
化学结构式(Chemical Structure):
参考文献No.210888
标题:Y 8004
作者:Roberts, P.; Casta馿r, J.
来源:Drugs Fut 1977,2(3),217
合成路线图解说明:

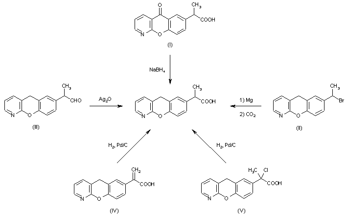
1) By reduction of 2-(5-oxo-5H[1]benzopyrano[2,3-b]pyridin-7-yl)propionic acid (I) with NaBH4 in basic water. 2) By treating with CO2 the Grignard compound prepared from 7-(1-bromoethyl)-5H[1]benzopyrane[2,3-b]pyridine (II) with Mg in THF. 3) By oxidation of 2-(5H[1]benzopyrane[2,3b]pyridin-7-yl)propionaldehyde (III) with silver oxide in basic ethanol. 4) By reduction of 2-(5H[1]benzopyrane[2,3-b]pyridin-7-yl)acrylic acid (IV) or 2-(5H[1]benzopyrane[2,3b]pyridin-7-yl)-2-chloropropionic acid (V) with H2 over Raney-Ni in aqueous NaOH.

合成路线图解说明:

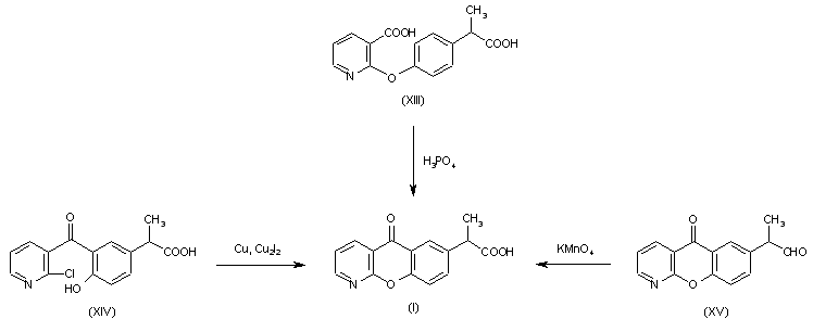
1) By cyclization of 2-[p-(alpha-carboxyethyl)phenoxy]nicotinic acid (XIII) with phosphoric acid at 130-40 C. 2) By cyclization of 2-[3-(2-chloronicotinoyl)-4-hydroxyphenyl]propionic acid (XIV) hy means of Cu - Cu2I2 in aqueous NaOH. 3) By oxidation of 2-(5-oxo-5H[1]benzopyrano[2,3-b]-pyridin-7-yl)propionaldehyde (XV) with KMnO4 in pyridine-water.

合成路线图解说明:

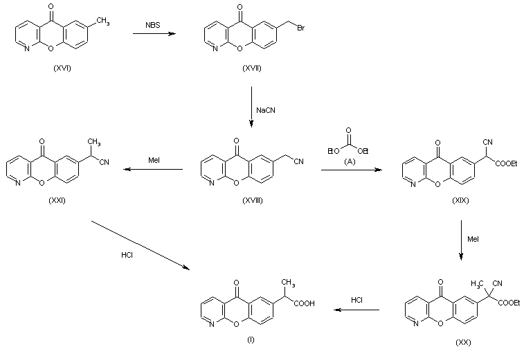
The bromination of 7-methyl-5-oxo-5H[1]benzopyrane[2,3-b]pyridine (XVI) with NBS in CCl4 gives 7-bromomethyl-5-oxo-5H[1]benzopyrane[2,3-b] pyridine (XVII), which is treated with NaCN in DMF yielding 7-cyanomethyl-5-oxo-5H[1]benzopyrane[2,3b]pyridine (XVIII). The reaction of (XVIII) with diethyl carbonate (A) by means of sodium ethoxide in ethanol affords ethyl 2-cyano-2-(5-oxo-5H[1]benzopyrane[2,3b]pyridine-7-yl)acetate (XIX), which, without isolation, is methylated with MeI giving ethyl 2-cyano-2-(5-oxo-5H[1]benzopyrane[2,3b]pyridine-7-yl)propionate (XX); finally this product is hydrolyzed and decarboxylated with dry HCl in refluxing acetic acid. An alternative way starting from the cyano derivative (XVIII) is its methylation with NaNH2 and MeI giving 7-(1-cyanoethyl)-5-oxo-5H[1]benzopyrane[2,3-b]pyridine (XXI), which is hydrolyzed with dry HCl in refluxing acetic acid.

合成路线图解说明:

The reduction of 5-oxo-5H[1]benzopyrane[2,3-b]pyridine (VI) affords 5-hydroxy-5H[1]benzopyrane[2,3-b]pyridine (VII), which is reduced again with refluxing isopropanol and HCl giving 5H[1]benzopyrane[2,3b]pyridine (VIII). This product is chloromethylated with HCHO and HCl in H2SO4 to yield 7-chloromethyl-5H[1]benzopyrane[2,3-b]pyridine (IX), which is treated with KCN in DMF-water to afford 7-cyanomethyl-5H[1]benzopyrane[2,3-b]pyridine (X). The reaction of (X) with diethyl carbonate (A) in ethanol containing sodium ethoxide gives ethyl 2-cyano-2-(5H[1]benzopyrano[2,3-b]pyridine-7-yl)acetate (XI), which, without isolation, is methylated with MeI to ethyl 2-cyano-2-(5H[1]-benzopyrano[2,3-b]pyridin-7-yl)propionate (XII). Finally, (XII) is hydrolyzed and decarboxylated with dry HCl in refluxing acetic acid.

参考文献No.701053
标题:Substituted alkanoic acids and derivatives
作者:Nakanishi, M.; Oe, T.; Tsuruda, M.
来源:DE 2337052; FR 2193593; GB 1403487; US 3931205
合成路线图解说明:

1) By reduction of 2-(5-oxo-5H[1]benzopyrano[2,3-b]pyridin-7-yl)propionic acid (I) with NaBH4 in basic water. 2) By treating with CO2 the Grignard compound prepared from 7-(1-bromoethyl)-5H[1]benzopyrane[2,3-b]pyridine (II) with Mg in THF. 3) By oxidation of 2-(5H[1]benzopyrane[2,3b]pyridin-7-yl)propionaldehyde (III) with silver oxide in basic ethanol. 4) By reduction of 2-(5H[1]benzopyrane[2,3-b]pyridin-7-yl)acrylic acid (IV) or 2-(5H[1]benzopyrane[2,3b]pyridin-7-yl)-2-chloropropionic acid (V) with H2 over Raney-Ni in aqueous NaOH.

合成路线图解说明:

1) By cyclization of 2-[p-(alpha-carboxyethyl)phenoxy]nicotinic acid (XIII) with phosphoric acid at 130-40 C. 2) By cyclization of 2-[3-(2-chloronicotinoyl)-4-hydroxyphenyl]propionic acid (XIV) hy means of Cu - Cu2I2 in aqueous NaOH. 3) By oxidation of 2-(5-oxo-5H[1]benzopyrano[2,3-b]-pyridin-7-yl)propionaldehyde (XV) with KMnO4 in pyridine-water.

合成路线图解说明:

The bromination of 7-methyl-5-oxo-5H[1]benzopyrane[2,3-b]pyridine (XVI) with NBS in CCl4 gives 7-bromomethyl-5-oxo-5H[1]benzopyrane[2,3-b] pyridine (XVII), which is treated with NaCN in DMF yielding 7-cyanomethyl-5-oxo-5H[1]benzopyrane[2,3b]pyridine (XVIII). The reaction of (XVIII) with diethyl carbonate (A) by means of sodium ethoxide in ethanol affords ethyl 2-cyano-2-(5-oxo-5H[1]benzopyrane[2,3b]pyridine-7-yl)acetate (XIX), which, without isolation, is methylated with MeI giving ethyl 2-cyano-2-(5-oxo-5H[1]benzopyrane[2,3b]pyridine-7-yl)propionate (XX); finally this product is hydrolyzed and decarboxylated with dry HCl in refluxing acetic acid. An alternative way starting from the cyano derivative (XVIII) is its methylation with NaNH2 and MeI giving 7-(1-cyanoethyl)-5-oxo-5H[1]benzopyrane[2,3-b]pyridine (XXI), which is hydrolyzed with dry HCl in refluxing acetic acid.

参考文献No.701054
标题:
作者:Nakanishi, M.; et al.
来源:JP 7505398
合成路线图解说明:

1) By cyclization of 2-[p-(alpha-carboxyethyl)phenoxy]nicotinic acid (XIII) with phosphoric acid at 130-40 C. 2) By cyclization of 2-[3-(2-chloronicotinoyl)-4-hydroxyphenyl]propionic acid (XIV) hy means of Cu - Cu2I2 in aqueous NaOH. 3) By oxidation of 2-(5-oxo-5H[1]benzopyrano[2,3-b]-pyridin-7-yl)propionaldehyde (XV) with KMnO4 in pyridine-water.

参考文献No.701055
标题:
作者:Nakanishi, M.; et al.
来源:JP 7493398
合成路线图解说明:

1) By reduction of 2-(5-oxo-5H[1]benzopyrano[2,3-b]pyridin-7-yl)propionic acid (I) with NaBH4 in basic water. 2) By treating with CO2 the Grignard compound prepared from 7-(1-bromoethyl)-5H[1]benzopyrane[2,3-b]pyridine (II) with Mg in THF. 3) By oxidation of 2-(5H[1]benzopyrane[2,3b]pyridin-7-yl)propionaldehyde (III) with silver oxide in basic ethanol. 4) By reduction of 2-(5H[1]benzopyrane[2,3-b]pyridin-7-yl)acrylic acid (IV) or 2-(5H[1]benzopyrane[2,3b]pyridin-7-yl)-2-chloropropionic acid (V) with H2 over Raney-Ni in aqueous NaOH.

合成路线图解说明:

The reduction of 5-oxo-5H[1]benzopyrane[2,3-b]pyridine (VI) affords 5-hydroxy-5H[1]benzopyrane[2,3-b]pyridine (VII), which is reduced again with refluxing isopropanol and HCl giving 5H[1]benzopyrane[2,3b]pyridine (VIII). This product is chloromethylated with HCHO and HCl in H2SO4 to yield 7-chloromethyl-5H[1]benzopyrane[2,3-b]pyridine (IX), which is treated with KCN in DMF-water to afford 7-cyanomethyl-5H[1]benzopyrane[2,3-b]pyridine (X). The reaction of (X) with diethyl carbonate (A) in ethanol containing sodium ethoxide gives ethyl 2-cyano-2-(5H[1]benzopyrano[2,3-b]pyridine-7-yl)acetate (XI), which, without isolation, is methylated with MeI to ethyl 2-cyano-2-(5H[1]-benzopyrano[2,3-b]pyridin-7-yl)propionate (XII). Finally, (XII) is hydrolyzed and decarboxylated with dry HCl in refluxing acetic acid.

参考文献No.701056
标题:Substituted alkanoic acids and derivatives
作者:Takanori, O.; et al.
来源:DE 2337052; FR 2193593; GB 1403487; US 3931205
合成路线图解说明:

The reduction of 5-oxo-5H[1]benzopyrane[2,3-b]pyridine (VI) affords 5-hydroxy-5H[1]benzopyrane[2,3-b]pyridine (VII), which is reduced again with refluxing isopropanol and HCl giving 5H[1]benzopyrane[2,3b]pyridine (VIII). This product is chloromethylated with HCHO and HCl in H2SO4 to yield 7-chloromethyl-5H[1]benzopyrane[2,3-b]pyridine (IX), which is treated with KCN in DMF-water to afford 7-cyanomethyl-5H[1]benzopyrane[2,3-b]pyridine (X). The reaction of (X) with diethyl carbonate (A) in ethanol containing sodium ethoxide gives ethyl 2-cyano-2-(5H[1]benzopyrano[2,3-b]pyridine-7-yl)acetate (XI), which, without isolation, is methylated with MeI to ethyl 2-cyano-2-(5H[1]-benzopyrano[2,3-b]pyridin-7-yl)propionate (XII). Finally, (XII) is hydrolyzed and decarboxylated with dry HCl in refluxing acetic acid.

参考文献No.701057
标题:
作者:Tsuruda, M.; et al.
来源:JP 7505399
合成路线图解说明:

1) By reduction of 2-(5-oxo-5H[1]benzopyrano[2,3-b]pyridin-7-yl)propionic acid (I) with NaBH4 in basic water. 2) By treating with CO2 the Grignard compound prepared from 7-(1-bromoethyl)-5H[1]benzopyrane[2,3-b]pyridine (II) with Mg in THF. 3) By oxidation of 2-(5H[1]benzopyrane[2,3b]pyridin-7-yl)propionaldehyde (III) with silver oxide in basic ethanol. 4) By reduction of 2-(5H[1]benzopyrane[2,3-b]pyridin-7-yl)acrylic acid (IV) or 2-(5H[1]benzopyrane[2,3b]pyridin-7-yl)-2-chloropropionic acid (V) with H2 over Raney-Ni in aqueous NaOH.

参考文献No.701058
标题:
作者:Nakanishi, M.; et al.
来源:JP 7535196
合成路线图解说明:

The bromination of 7-methyl-5-oxo-5H[1]benzopyrane[2,3-b]pyridine (XVI) with NBS in CCl4 gives 7-bromomethyl-5-oxo-5H[1]benzopyrane[2,3-b] pyridine (XVII), which is treated with NaCN in DMF yielding 7-cyanomethyl-5-oxo-5H[1]benzopyrane[2,3b]pyridine (XVIII). The reaction of (XVIII) with diethyl carbonate (A) by means of sodium ethoxide in ethanol affords ethyl 2-cyano-2-(5-oxo-5H[1]benzopyrane[2,3b]pyridine-7-yl)acetate (XIX), which, without isolation, is methylated with MeI giving ethyl 2-cyano-2-(5-oxo-5H[1]benzopyrane[2,3b]pyridine-7-yl)propionate (XX); finally this product is hydrolyzed and decarboxylated with dry HCl in refluxing acetic acid. An alternative way starting from the cyano derivative (XVIII) is its methylation with NaNH2 and MeI giving 7-(1-cyanoethyl)-5-oxo-5H[1]benzopyrane[2,3-b]pyridine (XXI), which is hydrolyzed with dry HCl in refluxing acetic acid.

参考文献No.800266
标题:Studies on anti-inflammatory agents. XXXII. Absorption, excretion, distribution and metabolism of 2-(5H-[1]-benzopyrano[2,3-b]pyridin-7-yl)propionic acid (Y-8004) in rats and mice
作者:Kato, Y.; et al.
来源:Yakugaku Zasshi 1976,96819
合成路线图解说明:

The reduction of 5-oxo-5H[1]benzopyrane[2,3-b]pyridine (VI) affords 5-hydroxy-5H[1]benzopyrane[2,3-b]pyridine (VII), which is reduced again with refluxing isopropanol and HCl giving 5H[1]benzopyrane[2,3b]pyridine (VIII). This product is chloromethylated with HCHO and HCl in H2SO4 to yield 7-chloromethyl-5H[1]benzopyrane[2,3-b]pyridine (IX), which is treated with KCN in DMF-water to afford 7-cyanomethyl-5H[1]benzopyrane[2,3-b]pyridine (X). The reaction of (X) with diethyl carbonate (A) in ethanol containing sodium ethoxide gives ethyl 2-cyano-2-(5H[1]benzopyrano[2,3-b]pyridine-7-yl)acetate (XI), which, without isolation, is methylated with MeI to ethyl 2-cyano-2-(5H[1]-benzopyrano[2,3-b]pyridin-7-yl)propionate (XII). Finally, (XII) is hydrolyzed and decarboxylated with dry HCl in refluxing acetic acid.

Drug Information Express,Drug R&D,Chemical Database,Patent Search.
Copyright © 2006-2026 Drug Future. All rights reserved.Contact Us