【药物名称】Alpidem, SL-80.0342-00, Ananxyl
化学结构式(Chemical Structure):
参考文献No.2425
标题:Imidazo[1,2-a] pyridine derivs. and their applicat
作者:George, P.; Kaplan, J.-P. (Sanofi-Synth閘abo )
来源:EP 0050563; US 4382938
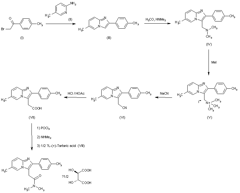
合成路线图解说明:

4-Methyl-2'-bromoacetophenone (I) is condensed with 2-amino-5-methyl pyridine (II) to give 2-(4-methylphenyl)-6-methylimidazo[1,2-a]pyridine (III). Compound (III) is condensed with formaldehyde and dimethylamine in a Mannich reaction to give the 3-dimethyl aminomethyl derivative (IV), which is quaternized on the side chain nitrogen to afford the quaternary iodide (V). Displacement of trimethylamine from the quaternary salt (V) with cyanide ion leads to 2-(4-methylphenyl)-6-methylimidazo[1,2-a]pyridine-3-acetonitrile (VI). Acid hydrolysis of the nitrile then affords the corresponding acid (VII). Conversion of the acid to its acid chloride followed by condensation with dimethylamine then leads to zolpidem free base, which is converted to its L-(+)- tartrate (2:1) by treatment with L-(+)-tartaric acid.

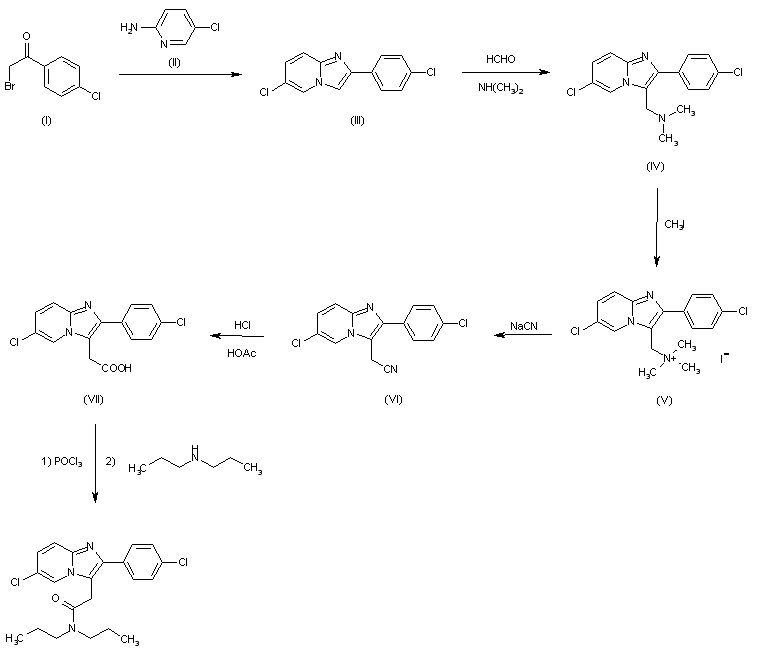
合成路线图解说明:

1) 4-Chloro-2'-bromoacetophenone (I) is condensed with 2-amino 5-chloropyridine (II) to give 6-chloro-2-(4-chlorophenyl)imidazo[1,2-a]pyridine (III). 2) The above compound is reacted with formaldehyde and dimethylamine under Mannich conditions affording the 3-dimethylaminomethyl derivative (IV), which is subsequently quaternized with methyl iodide to afford the quaternary iodide (V). 3) Displacement of trimethylamine from salt (V) with cyanide ion leads to formation of the nitrile (VI), which on hydrolysis with hydrochloric acid in acetic acid gives the corresponding acid (VII). 4) In situ conversion of the acid to its acid chloride with phosphorus oxychloride followed by treatment with di-n-propylamine then leads to alpidem.

参考文献No.62368
标题:Use
作者:Reed, M.J.; Potter, B.V.L. (Sterix Ltd.)
来源:WO 0232409
合成路线图解说明:

1) 4-Chloro-2'-bromoacetophenone (I) is condensed with 2-amino 5-chloropyridine (II) to give 6-chloro-2-(4-chlorophenyl)imidazo[1,2-a]pyridine (III). 2) The above compound is reacted with formaldehyde and dimethylamine under Mannich conditions affording the 3-dimethylaminomethyl derivative (IV), which is subsequently quaternized with methyl iodide to afford the quaternary iodide (V). 3) Displacement of trimethylamine from salt (V) with cyanide ion leads to formation of the nitrile (VI), which on hydrolysis with hydrochloric acid in acetic acid gives the corresponding acid (VII). 4) In situ conversion of the acid to its acid chloride with phosphorus oxychloride followed by treatment with di-n-propylamine then leads to alpidem.

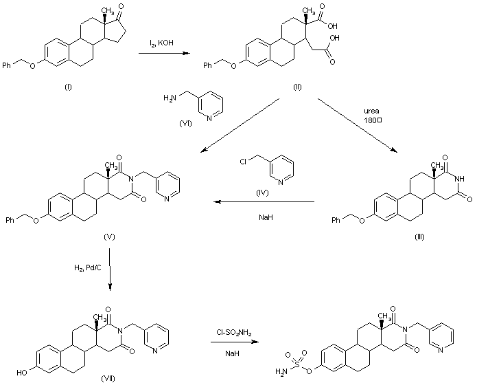
合成路线图解说明:

The oxidation of 3-(benzyloxy)estrone (I) with I2 and KOH in refluxing methanol gives 3-(benzyloxy)-16,17-seco-estra-1,3,5(10)-triene-16,17-dioic acid (II), which is cyclized with urea at 180篊 to yield the cyclic imide (III). The alkylation of (III) with propyl chloride (IV) and NaH in DMF affords the N-propyl derivative (V). Alternatively, the N-propyl derivative (V) can also be obtained by direct cyclization of diacid (II) with propylamine (VI) at 180?C. The debenzylation of (V) to the 3-hydroxy derivative (VII) is performed by hydrogenation with H2 over Pd/C in methanol/THF. Finally, compound (VII) is treated with chlorosulfonamide and NaH in DMF to provide the target sulfamate.

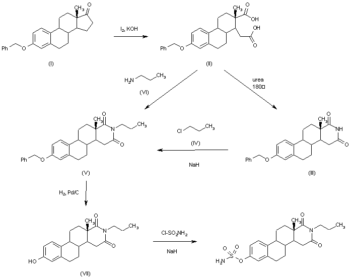
合成路线图解说明:

The oxidation of 3-(benzyloxy)estrone (I) with I2 and KOH in refluxing methanol gives 3-(benzyloxy)-16,17-seco-estra-1,3,5(10)-triene-16,17-dioic acid (II), which is cyclized with urea at 180?C to yield the cyclic imide (III). The alkylation of (III) with 3-(chloromethyl)pyridine (IV) and NaH in DMF affords the N-(3-pyridylmethyl) derivative (V). Alternatively, the N-(3-pyridylmethyl) derivative (V) can also be obtained by direct cyclization of diacid (II) with 3-pyridylmethylamine (VI) at 180?C. The debenzylation of (V) to the 3-hydroxy derivative (VII) is performed by hydrogenation with H2 over Pd/C in methanol/THF. Finally, compound (VII) is treated with chlorosulfonamide and NaH in DMF to provide the target sulfamate.

Drug Information Express,Drug R&D,Chemical Database,Patent Search.
Copyright © 2006-2026 Drug Future. All rights reserved.Contact Us