【药物名称】Flunoprost, ZK-95377
化学结构式(Chemical Structure):
参考文献No.2437
标题:9-Fluoroprostaglandin derivatives and use as medicinal agents
作者:Skuballa, W.; Rad點hel, B.; Schwarz, N.; Vorbr黦gen, H.; Elger, W.; Loge, O.; Town, M.-H. (Schering AG)
来源:DE 3126924; EP 0069696; JP 58008059; US 4454339; US 4789685
合成路线图解说明:

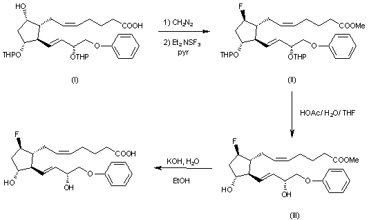
Esterification of 16-phenoxy-17,18,19-20-tetranor-PGF2alpha-11,15-bistetrahydropyranyl ether (I) with diazomethane followed by fluorination with (diethylamino)sulfur trifluoride (DAST) in the presence of pyridine affords the 9beta-fluoro intermediate (II). Deprotection with acetic acid yields the 11,15-diol (III), which is finally converted to flunoprost by treatment with potassium hydroxide in ethanol - water.

参考文献No.108084
标题:N-(Methanesulfonyl)-16-phenoxyprostaglandincarboxamides: Tissue-selective, uterine stimulants
作者:Schaaf, T.K.; Bindra, J.S.; Eggler, J.F.; Plattner, J.J.; Nelson, A.J.; Johnson, M.R.; Constantine, J.W.; Hess, H.-J.
来源:J Med Chem 1981,24(11),1353-9
合成路线图解说明:

Esterification of 16-phenoxy-17,18,19-20-tetranor-PGF2alpha-11,15-bistetrahydropyranyl ether (I) with diazomethane followed by fluorination with (diethylamino)sulfur trifluoride (DAST) in the presence of pyridine affords the 9beta-fluoro intermediate (II). Deprotection with acetic acid yields the 11,15-diol (III), which is finally converted to flunoprost by treatment with potassium hydroxide in ethanol - water.

参考文献No.108085
标题:New fluorinating reagents. Dialkylaminosulfur fluorides
作者:Meddleton, W.J.
来源:J Org Chem 1975,40574-8
合成路线图解说明:

Esterification of 16-phenoxy-17,18,19-20-tetranor-PGF2alpha-11,15-bistetrahydropyranyl ether (I) with diazomethane followed by fluorination with (diethylamino)sulfur trifluoride (DAST) in the presence of pyridine affords the 9beta-fluoro intermediate (II). Deprotection with acetic acid yields the 11,15-diol (III), which is finally converted to flunoprost by treatment with potassium hydroxide in ethanol - water.

参考文献No.109628
标题:FLUNOPROST < Rec INN >
作者:Losert, W.; Loge, O.; Beckmann, R.; Skuballa, W.; Thierauch, K.-H.
来源:Drugs Fut 1989,14(10),942
合成路线图解说明:

Esterification of 16-phenoxy-17,18,19-20-tetranor-PGF2alpha-11,15-bistetrahydropyranyl ether (I) with diazomethane followed by fluorination with (diethylamino)sulfur trifluoride (DAST) in the presence of pyridine affords the 9beta-fluoro intermediate (II). Deprotection with acetic acid yields the 11,15-diol (III), which is finally converted to flunoprost by treatment with potassium hydroxide in ethanol - water.

Drug Information Express,Drug R&D,Chemical Database,Patent Search.
Copyright © 2006-2026 Drug Future. All rights reserved.Contact Us