【药物名称】Dirithromycin, AS-E 136, LY-237216, ASE-136, Valodin, Noriclan, Nortron, Dynabac, Divitross
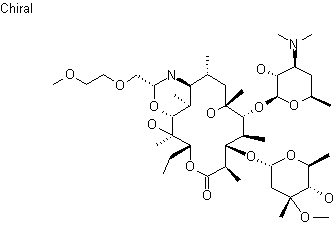
化学结构式(Chemical Structure):
参考文献No.2424
标题:Novel erythromycin derivs. and process for their preparation
作者:Maier, R.; Woitun, E.; Wetzel, B.; Reuter, W.; Goeth, H.; Lechner, U. (Dr. Karl Thomae GmbH)
来源:DE 2515075
合成路线图解说明:

By cyclocondensation of erythromycylamine (I) with 2-(2-methoxyethoxy)acetaldehyde diethylacetal (II) in dioxane.

参考文献No.75503
标题:DIRITHROMYCIN < Rec INN >
作者:Prous, J.; Casta馿r, J.
来源:Drugs Fut 1989,14(2),112
合成路线图解说明:

By cyclocondensation of erythromycylamine (I) with 2-(2-methoxyethoxy)acetaldehyde diethylacetal (II) in dioxane.

Drug Information Express,Drug R&D,Chemical Database,Patent Search.
Copyright © 2006-2026 Drug Future. All rights reserved.Contact Us