【药物名称】Erythromycin acistrate, Erasis
化学结构式(Chemical Structure):
参考文献No.2422
标题:Acetyl erythromycin stearate, and compsns. contain
作者:Honkanen, E.J.; Kairisalo, P.J.; Marttila, E.V.; Marvola, M.L.A.; Pippuri, A.K.; Uotila, J.A. (Orion Corporation)
来源:CH 666275; DE 3500179; FR 2557878; GB 2152502; JP 1985158197; US 4599326
合成路线图解说明:

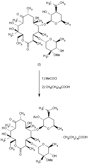
By acetylation of erythromycin A (I) with acetyl chloride and NaHCO3 in ethyl acetate followed by reaction with stearic acid.

参考文献No.63017
标题:Erythromycin acistrate
作者:Casta馿r, J.; Prous, J.
来源:Drugs Fut 1988,13(10),910
合成路线图解说明:

By acetylation of erythromycin A (I) with acetyl chloride and NaHCO3 in ethyl acetate followed by reaction with stearic acid.

Drug Information Express,Drug R&D,Chemical Database,Patent Search.
Copyright © 2006-2026 Drug Future. All rights reserved.Contact Us