【药物名称】Glimepiride, Hoe-490, Roname, Amaryl
化学结构式(Chemical Structure):
参考文献No.10026
标题:Sulfonylureas, process for their preparation, pharmaceutical compsns. containing them and their use
作者:Weyer, R.; Hitzel, V.; Geisen, K.; Regitz, G. (Aventis SA)
来源:EP 0031058; US 4379785
合成路线图解说明:

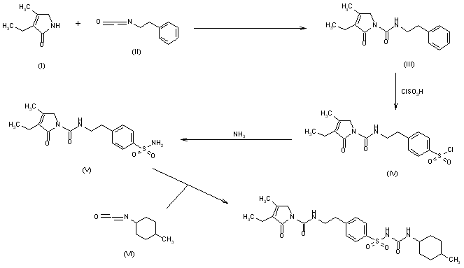
The condensation of 3-ethyl-4-methyl-3-pyrrolin-2-one (I) with 2-phenylethyl isocyanate (II) at 150 C gives 3-ethyl-4-methyl-2-oxo-N-(2-phenylethyl)-3-pyrrolin-1-carboxamide (III), which is sulfonated with chlorosulfonic acid at 40 C to yield the corresponding benzenesulfonyl chloride (IV). The reaction of (IV) with concentrated NH4OH affords the sulfonamide (V), which is finally condensed with 4-methylcyclohexyl isocyanate (VI) in acetone.

参考文献No.80662
标题:Acylureidoalkylphenylsulfonylureas with blood glucose lowering efficacy
作者:Hitzel, V.; Weyer, R.
来源:Arzneim-Forsch Drug Res 1988,38(8),1079
合成路线图解说明:

The condensation of 3-ethyl-4-methyl-3-pyrrolin-2-one (I) with 2-phenylethyl isocyanate (II) at 150 C gives 3-ethyl-4-methyl-2-oxo-N-(2-phenylethyl)-3-pyrrolin-1-carboxamide (III), which is sulfonated with chlorosulfonic acid at 40 C to yield the corresponding benzenesulfonyl chloride (IV). The reaction of (IV) with concentrated NH4OH affords the sulfonamide (V), which is finally condensed with 4-methylcyclohexyl isocyanate (VI) in acetone.

参考文献No.182674
标题:Glimepiride
作者:Prous, J.; Casta馿r, J.
来源:Drugs Fut 1992,17(9),774
合成路线图解说明:

The condensation of 3-ethyl-4-methyl-3-pyrrolin-2-one (I) with 2-phenylethyl isocyanate (II) at 150 C gives 3-ethyl-4-methyl-2-oxo-N-(2-phenylethyl)-3-pyrrolin-1-carboxamide (III), which is sulfonated with chlorosulfonic acid at 40 C to yield the corresponding benzenesulfonyl chloride (IV). The reaction of (IV) with concentrated NH4OH affords the sulfonamide (V), which is finally condensed with 4-methylcyclohexyl isocyanate (VI) in acetone.

Drug Information Express,Drug R&D,Chemical Database,Patent Search.
Copyright © 2006-2026 Drug Future. All rights reserved.Contact Us