【药物名称】Oxamisole hydrochloride, PR-879317A
化学结构式(Chemical Structure):
参考文献No.2323
标题:Pyrrolo[1,2-a]imidazole and imidazo[1,2-a]pyridine
作者:Davidson, T.A.; Murray, R.J. (Pennwalt Corp.)
来源:EP 0150255; US 4507481
合成路线图解说明:

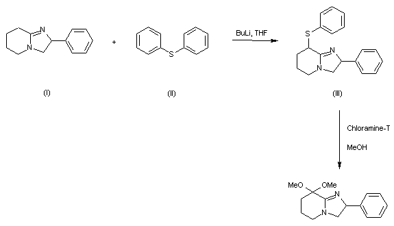
The reaction of 2-phenyl-2,3,5,6,7,8-hexahydro imidazo[1,2-a]pyridine (I) with diphenyl sulfide (II) by means of n-butyllithium in THF gives 2-phenyl-8-(phenylthio)-2,3,5,6,7,8-hexahydroimidazo[1,2-a]pyridine (III), which is then oxidized with chloramine T in methanol and simultaneously ketalized.

参考文献No.70084
标题:PR-879317A
作者:Casta馿r, J.; Prous, J.
来源:Drugs Fut 1988,13(10),934
合成路线图解说明:

The reaction of 2-phenyl-2,3,5,6,7,8-hexahydro imidazo[1,2-a]pyridine (I) with diphenyl sulfide (II) by means of n-butyllithium in THF gives 2-phenyl-8-(phenylthio)-2,3,5,6,7,8-hexahydroimidazo[1,2-a]pyridine (III), which is then oxidized with chloramine T in methanol and simultaneously ketalized.

参考文献No.546930
标题:Immunomodulatory pyrrolo[1,2-a]imidazoles and imidazol[1,2-a]pyridines
作者:Murray, R.J.; Loch, J.T. III; Radov, L.A.; Davidson, T.A.; Kamp, D.; Trusso, L.A.; Gawlack, D.L.
来源:192nd ACS Natl Meet (Sept 7-12, Anaheim) 1986,Abst MEDI-81
合成路线图解说明:

The reaction of 2-phenyl-2,3,5,6,7,8-hexahydro imidazo[1,2-a]pyridine (I) with diphenyl sulfide (II) by means of n-butyllithium in THF gives 2-phenyl-8-(phenylthio)-2,3,5,6,7,8-hexahydroimidazo[1,2-a]pyridine (III), which is then oxidized with chloramine T in methanol and simultaneously ketalized.

Drug Information Express,Drug R&D,Chemical Database,Patent Search.
Copyright © 2006-2026 Drug Future. All rights reserved.Contact Us