【药物名称】MZPES
化学结构式(Chemical Structure):
参考文献No.2308
标题:Pyrimidine derivs.
作者:Bliss, E.A.; Griffin, R.J.; Stevens, M.F.G. (Aston University; Glaxo Wellcome plc)
来源:EP 0147443; GB 2152508; JP 1985502255; WO 8404746
合成路线图解说明:

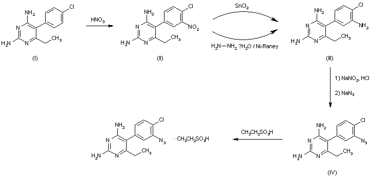
The nitration of 2,4-diamino-5-(4 chlorophenyl)-6-ethypyrimidine(pyrimethamine) (I) with HNO3 in H2SO4 gives 2,4-diamino-4-(4-chloro-3 nitrophenyl)- 6-ethylpyrimidine (II), which is reduced with SnCl2 in 10 N HCl or with hydrazine hydrate - Raney Nickel in 95% ethanol at 65 C to afford 2,4-diamino-5-(3-amino-4-chlorophenyl)-6-ethylpyrimidine (III). The diazotation of (III) with NaNO2 - HCl and treatment of the diazonium salt with sodium azide yields 2,4-diamino-5-(3-azido-4-chlorophenyl)-6-ethylpyrimidine (IV), which is treated finally with ethylsulfonic acid (V).

参考文献No.63541
标题:Mzpes
作者:Casta馿r, J.; Prous, J.
来源:Drugs Fut 1988,13(6),526
合成路线图解说明:

The nitration of 2,4-diamino-5-(4 chlorophenyl)-6-ethypyrimidine(pyrimethamine) (I) with HNO3 in H2SO4 gives 2,4-diamino-4-(4-chloro-3 nitrophenyl)- 6-ethylpyrimidine (II), which is reduced with SnCl2 in 10 N HCl or with hydrazine hydrate - Raney Nickel in 95% ethanol at 65 C to afford 2,4-diamino-5-(3-amino-4-chlorophenyl)-6-ethylpyrimidine (III). The diazotation of (III) with NaNO2 - HCl and treatment of the diazonium salt with sodium azide yields 2,4-diamino-5-(3-azido-4-chlorophenyl)-6-ethylpyrimidine (IV), which is treated finally with ethylsulfonic acid (V).

Drug Information Express,Drug R&D,Chemical Database,Patent Search.
Copyright © 2006-2026 Drug Future. All rights reserved.Contact Us