【药物名称】Pirazolac, ZK-76604
化学结构式(Chemical Structure):
参考文献No.2225
标题:Pyrazole derivatives
作者:Biere, H. (Schering AG)
来源:DE 2920941; EP 0022906
合成路线图解说明:

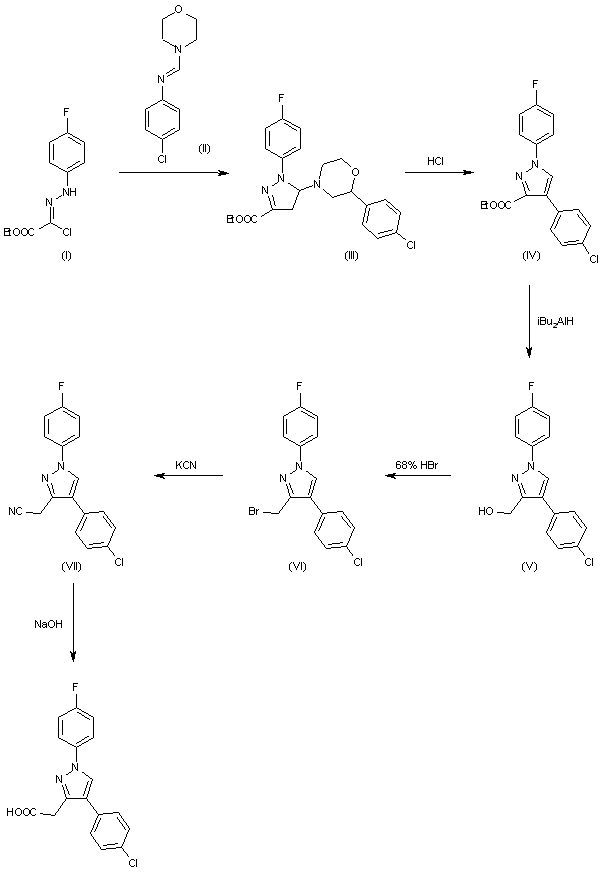
The cyclization of ethyl 2-chloro-2-(4-fluorophenylhydrazono)acetate (I) with 4-(4-chloro-beta-styryl)morpholine (II) by means of triethyiamine in refluxing CHCl3 gives ethyl 4-(4-chlorophenyl)-1-(4-fluorophenyl)-5-morpholino-4,5-dihydropyrazol-3-carboxylate (III), which is treated with HCl in refluxing dioxane yielding ethyl 4-(4-chlorophenyl)-1-(4-fluorophenyl)pyrazol-3-carboxylate (IV). The reduction of (IV) with diisobutylaluminum hydride in toluene affords [4-(4-chlorophenyl)-1-(4-fluorophenyl)-3-pyrazolyl]methanol (V), which by treatment with aqueous 63% HBr at 90 C is converted to 3-(bromomethyl)-4-(4-chlorophenyl)-1-(4-fluorophenyl)pyrazole (VI). The reaction of (VI) with KCN and 18-crown-6 in hot acetonitrile affords 4-(4-chlorophenyl)-1-(4-fluorophenyl)pyrazole-3-acetonitrile (VII), which is finally hydrolyzed with NaOH in water-DMSO at 120 C.

参考文献No.2228
标题:Derivatives of antiphlogistically effective carboxylic acids, their preparation and medicinal use
作者:Vorbrueggen, H. (Schering AG)
来源:DE 3049405; EP 0054812; GB 2091251; JP 57167977; US 4391814
合成路线图解说明:

The cyclization of ethyl 2-chloro-2-(4-fluorophenylhydrazono)acetate (I) with 4-(4-chloro-beta-styryl)morpholine (II) by means of triethyiamine in refluxing CHCl3 gives ethyl 4-(4-chlorophenyl)-1-(4-fluorophenyl)-5-morpholino-4,5-dihydropyrazol-3-carboxylate (III), which is treated with HCl in refluxing dioxane yielding ethyl 4-(4-chlorophenyl)-1-(4-fluorophenyl)pyrazol-3-carboxylate (IV). The reduction of (IV) with diisobutylaluminum hydride in toluene affords [4-(4-chlorophenyl)-1-(4-fluorophenyl)-3-pyrazolyl]methanol (V), which by treatment with aqueous 63% HBr at 90 C is converted to 3-(bromomethyl)-4-(4-chlorophenyl)-1-(4-fluorophenyl)pyrazole (VI). The reaction of (VI) with KCN and 18-crown-6 in hot acetonitrile affords 4-(4-chlorophenyl)-1-(4-fluorophenyl)pyrazole-3-acetonitrile (VII), which is finally hydrolyzed with NaOH in water-DMSO at 120 C.

参考文献No.52132
标题:Pirazolac
作者:Serradell, M.N.; Casta馿r, J.
来源:Drugs Fut 1986,11(4),272
合成路线图解说明:

The cyclization of ethyl 2-chloro-2-(4-fluorophenylhydrazono)acetate (I) with 4-(4-chloro-beta-styryl)morpholine (II) by means of triethyiamine in refluxing CHCl3 gives ethyl 4-(4-chlorophenyl)-1-(4-fluorophenyl)-5-morpholino-4,5-dihydropyrazol-3-carboxylate (III), which is treated with HCl in refluxing dioxane yielding ethyl 4-(4-chlorophenyl)-1-(4-fluorophenyl)pyrazol-3-carboxylate (IV). The reduction of (IV) with diisobutylaluminum hydride in toluene affords [4-(4-chlorophenyl)-1-(4-fluorophenyl)-3-pyrazolyl]methanol (V), which by treatment with aqueous 63% HBr at 90 C is converted to 3-(bromomethyl)-4-(4-chlorophenyl)-1-(4-fluorophenyl)pyrazole (VI). The reaction of (VI) with KCN and 18-crown-6 in hot acetonitrile affords 4-(4-chlorophenyl)-1-(4-fluorophenyl)pyrazole-3-acetonitrile (VII), which is finally hydrolyzed with NaOH in water-DMSO at 120 C.

参考文献No.700220
标题:
作者:Herrine, S.K.; et al.
来源:Eur J Drug Metab Pharmacokinet 1985,10(1),41-53
合成路线图解说明:

The cyclization of ethyl 2-chloro-2-(4-fluorophenylhydrazono)acetate (I) with 4-(4-chloro-beta-styryl)morpholine (II) by means of triethyiamine in refluxing CHCl3 gives ethyl 4-(4-chlorophenyl)-1-(4-fluorophenyl)-5-morpholino-4,5-dihydropyrazol-3-carboxylate (III), which is treated with HCl in refluxing dioxane yielding ethyl 4-(4-chlorophenyl)-1-(4-fluorophenyl)pyrazol-3-carboxylate (IV). The reduction of (IV) with diisobutylaluminum hydride in toluene affords [4-(4-chlorophenyl)-1-(4-fluorophenyl)-3-pyrazolyl]methanol (V), which by treatment with aqueous 63% HBr at 90 C is converted to 3-(bromomethyl)-4-(4-chlorophenyl)-1-(4-fluorophenyl)pyrazole (VI). The reaction of (VI) with KCN and 18-crown-6 in hot acetonitrile affords 4-(4-chlorophenyl)-1-(4-fluorophenyl)pyrazole-3-acetonitrile (VII), which is finally hydrolyzed with NaOH in water-DMSO at 120 C.

参考文献No.700313
标题:
作者:
来源:J Med Chem Chim Ther 1982,1727-34
合成路线图解说明:

The cyclization of ethyl 2-chloro-2-(4-fluorophenylhydrazono)acetate (I) with 4-(4-chloro-beta-styryl)morpholine (II) by means of triethyiamine in refluxing CHCl3 gives ethyl 4-(4-chlorophenyl)-1-(4-fluorophenyl)-5-morpholino-4,5-dihydropyrazol-3-carboxylate (III), which is treated with HCl in refluxing dioxane yielding ethyl 4-(4-chlorophenyl)-1-(4-fluorophenyl)pyrazol-3-carboxylate (IV). The reduction of (IV) with diisobutylaluminum hydride in toluene affords [4-(4-chlorophenyl)-1-(4-fluorophenyl)-3-pyrazolyl]methanol (V), which by treatment with aqueous 63% HBr at 90 C is converted to 3-(bromomethyl)-4-(4-chlorophenyl)-1-(4-fluorophenyl)pyrazole (VI). The reaction of (VI) with KCN and 18-crown-6 in hot acetonitrile affords 4-(4-chlorophenyl)-1-(4-fluorophenyl)pyrazole-3-acetonitrile (VII), which is finally hydrolyzed with NaOH in water-DMSO at 120 C.

Drug Information Express,Drug R&D,Chemical Database,Patent Search.
Copyright © 2006-2026 Drug Future. All rights reserved.Contact Us