【药物名称】EMD-30533
化学结构式(Chemical Structure):
参考文献No.2218
标题:Tetralone and indanone derivs.
作者:M黮ler-Calgan, H.; Jonas, R.; Uhl, J.; Irmscher, K. (Merck Patent GmbH)
来源:DE 2507782; NL 7601762
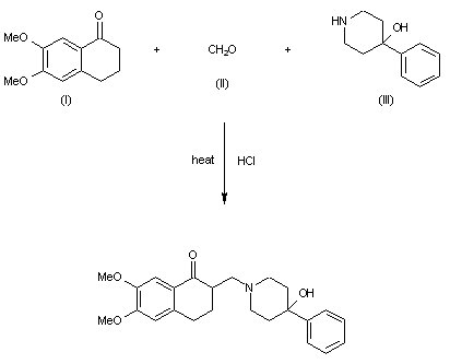
合成路线图解说明:

By condensation of 1-tetralone (I) with formaldehyde (II) and 4-phenyl piperidin-4-ol (III) in refluxing ethanol.

参考文献No.52120
标题:EMD-30533
作者:Serradell, M.N.; Casta馿r, J.
来源:Drugs Fut 1986,11(2),101
合成路线图解说明:

By condensation of 1-tetralone (I) with formaldehyde (II) and 4-phenyl piperidin-4-ol (III) in refluxing ethanol.

Drug Information Express,Drug R&D,Chemical Database,Patent Search.
Copyright © 2006-2026 Drug Future. All rights reserved.Contact Us