【药物名称】SK&F-94120
化学结构式(Chemical Structure):
参考文献No.2216
标题:5-(4-Nitrophenyl)-2(1H)-pyrazinones
作者:Coates, W.J. (SmithKline Beecham plc)
来源:EP 0096517; US 4514568; US 4556711
合成路线图解说明:

1) By condensation of 2 chloropyrazine (I) with N-acetylphenylhydroxylamine (II) by means of NaH in DMF (or NaOH in DMF - water; or with K2CO3 in acetone).

合成路线图解说明:

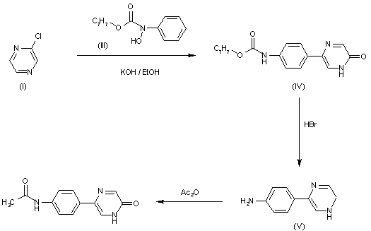
2) The condensation of (I) with benzyl-N-hydroxy-N-phenylcarbamate (III) in ethanolic KOH gives 5-[4-(benzyloxycarbonylamino)phenyl]pyrazin-2(1H)-one (IV), which is hydrolyzed witn HBr in acetic acid yielding 5-(4-aminophenyl)pyrazin-2(1H)-one (V). Finally, this compound is acetylated with acetic anhydride.

参考文献No.52112
标题:SK&F-94120
作者:Prous, J.; Casta馿r, J.
来源:Drugs Fut 1986,11(2),129
合成路线图解说明:

1) By condensation of 2 chloropyrazine (I) with N-acetylphenylhydroxylamine (II) by means of NaH in DMF (or NaOH in DMF - water; or with K2CO3 in acetone).

合成路线图解说明:

2) The condensation of (I) with benzyl-N-hydroxy-N-phenylcarbamate (III) in ethanolic KOH gives 5-[4-(benzyloxycarbonylamino)phenyl]pyrazin-2(1H)-one (IV), which is hydrolyzed witn HBr in acetic acid yielding 5-(4-aminophenyl)pyrazin-2(1H)-one (V). Finally, this compound is acetylated with acetic anhydride.

Drug Information Express,Drug R&D,Chemical Database,Patent Search.
Copyright © 2006-2026 Drug Future. All rights reserved.Contact Us