【药物名称】Levodropropizine, Levdropropizine, DF-526, Salvituss, Danka, Rapitux, Levotuss
化学结构式(Chemical Structure):
参考文献No.2196
标题:Optically active compounds with antitussive and central sedative activity, a process for the preparation thereof and compositions containing the same
作者:Borsa, M.; Tonon, G.; Malandrino, S. (Domp?Farm. SpA)
来源:EP 0147847; US 4699911; US 4764515
合成路线图解说明:

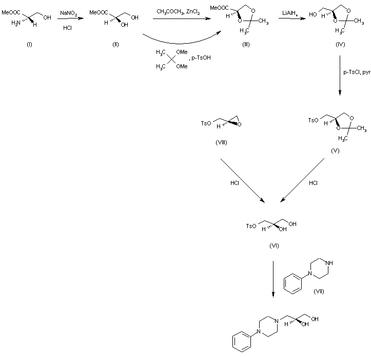
This compound can be prepared by two related ways: 1) The diazotation of L-serine methyl ester (I) with NaNO2 - HCl gives methyl (S)-glycerate (II), which by reaction with 2,2-dimethoxypropane and p-toluenesulfonic acid (or acetone and ZnCl2) is converted to methyl (S)-O-isopropylideneglycerate (III). The reduction of (III) with LiAlH4 in refluxing ether affords (S)-2,3-O-isopropylideneglycerol (IV), which by reaction with tosyl chloride in pyridine is converted to the corresponding tosylate (V). The partial hydrolysis of (V) with HCl in acetone affords (S)-glycerol-1-tosylate (VI), which is finally condensed with 1-phenylpiperazine (VII) in refluxing benzene. 2) The partial hydrolysis of (S)-2,3-epoxypropyl tosylate (VIII) with HCl as before gives the glycerol tosylate (VI), already obtained.

参考文献No.80975
标题:Synthesis and pharmacological screening of new phenylpiperazinepropane derivatives and their enantiomers
作者:Giani, R.; Marione, E.; Melillo, G.; Borsa, M.; Tonon, G.C.
来源:Arzneim-Forsch Drug Res 1988,38(8),1139-41
合成路线图解说明:

This compound can be prepared by two related ways: 1) The diazotation of L-serine methyl ester (I) with NaNO2 - HCl gives methyl (S)-glycerate (II), which by reaction with 2,2-dimethoxypropane and p-toluenesulfonic acid (or acetone and ZnCl2) is converted to methyl (S)-O-isopropylideneglycerate (III). The reduction of (III) with LiAlH4 in refluxing ether affords (S)-2,3-O-isopropylideneglycerol (IV), which by reaction with tosyl chloride in pyridine is converted to the corresponding tosylate (V). The partial hydrolysis of (V) with HCl in acetone affords (S)-glycerol-1-tosylate (VI), which is finally condensed with 1-phenylpiperazine (VII) in refluxing benzene. 2) The partial hydrolysis of (S)-2,3-epoxypropyl tosylate (VIII) with HCl as before gives the glycerol tosylate (VI), already obtained.

参考文献No.95993
标题:LEVDROPROPIZINE < Rec INN >
作者:Prous, J.; Casta馿r, J.
来源:Drugs Fut 1989,14(6),522
合成路线图解说明:

This compound can be prepared by two related ways: 1) The diazotation of L-serine methyl ester (I) with NaNO2 - HCl gives methyl (S)-glycerate (II), which by reaction with 2,2-dimethoxypropane and p-toluenesulfonic acid (or acetone and ZnCl2) is converted to methyl (S)-O-isopropylideneglycerate (III). The reduction of (III) with LiAlH4 in refluxing ether affords (S)-2,3-O-isopropylideneglycerol (IV), which by reaction with tosyl chloride in pyridine is converted to the corresponding tosylate (V). The partial hydrolysis of (V) with HCl in acetone affords (S)-glycerol-1-tosylate (VI), which is finally condensed with 1-phenylpiperazine (VII) in refluxing benzene. 2) The partial hydrolysis of (S)-2,3-epoxypropyl tosylate (VIII) with HCl as before gives the glycerol tosylate (VI), already obtained.

Drug Information Express,Drug R&D,Chemical Database,Patent Search.
Copyright © 2006-2026 Drug Future. All rights reserved.Contact Us