【药物名称】Egualen sodium, Azuletil sodium, KT1-32, KTI-32, Azuloxa
化学结构式(Chemical Structure):
参考文献No.246968
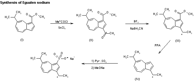
标题:A facile synthesis of sodium 3-[1-C-14]-ethyl-7-isopropyl-1-azulenesulfonate
作者:Yanagisawa, T.; Okazaki, M.; Tomiyama, T.; Shimada, T.
来源:J Label Compd Radiopharm 1994,34(1),79
合成路线图解说明:

The synthesis of [14C]-labeled KT1-32 has been reported: The acylation of 7-isopropylazulene-1-carboxylic acid ethyl ester (I) with 1-[14C]-acetyl chloride-SnCl4 in dichloromethane gives the corresponding 3-acetyl derivative (II), which is reduced with sodium cyanoborohydride and boron trifluoride in ether to the 3-ethyl derivative (III). The decarboxylation of (III) with polyphosphoric acid at 100 C affords 1-[14C]-ethyl-5-isopropylazulene (IV), which is finally sulfonated with the pyridine-SO3 complex in refluxing benzene.

Drug Information Express,Drug R&D,Chemical Database,Patent Search.
Copyright © 2006-2026 Drug Future. All rights reserved.Contact Us