【药物名称】Temozolomide, Sch-52365, CCRG-81045, NSC-362856, M&B-39831, Temodar, Temodal
化学结构式(Chemical Structure):
参考文献No.2177
标题:Tetrazine derivs., process for their preparation and pharmaceutical compsns. containing them
作者:Lunt, E.; Stevens, M.F.G.; Stone, R.; Woolbridge, K.R.H. (Cancer Research Campaign Technology Ltd.)
来源:BE 894175; DE 3231255; FR 2511679; GB 2104522; JP 1983043975; US 5260291
合成路线图解说明:

By cyclization of 5-diazoimidazole-4-carboxamide (I) with 2-chloroethyl isocyanate (II) in dichloromethane.

合成路线图解说明:

By reaction of 5-diazoimidazole-4-carboxamide (II), prepared by diazotization of 5-aminoimidazole-4-carboxamide (I) with nitrous acid, with methylisocyanate (III) either alone or in dichloromethane.

参考文献No.262695
标题:Temozolomide
作者:Prous, J.; Casta馿r, J.; Graul, A.
来源:Drugs Fut 1994,19(8),746
合成路线图解说明:

By reaction of 5-diazoimidazole-4-carboxamide (II), prepared by diazotization of 5-aminoimidazole-4-carboxamide (I) with nitrous acid, with methylisocyanate (III) either alone or in dichloromethane.

参考文献No.265060
标题:Antitumor imidazotetrazinones. 1. Synthesis and chemistry of 8-carbamoyl-3-(2-chloroethyl)imidazo[5,1-d]-1,2,3,5-tetrazin-4(3H)-one, a novel broad-spectrum antitumor agent
作者:Stone, R.; Newton, C.G.; Gibson, N.W.; Baig, G.U.; Lunt, E.; Stevens, M.F.G.; Hickman, J.A.
来源:J Med Chem 1984,27(196-201),196
合成路线图解说明:

By cyclization of 5-diazoimidazole-4-carboxamide (I) with 2-chloroethyl isocyanate (II) in dichloromethane.

合成路线图解说明:

By reaction of 5-diazoimidazole-4-carboxamide (II), prepared by diazotization of 5-aminoimidazole-4-carboxamide (I) with nitrous acid, with methylisocyanate (III) either alone or in dichloromethane.

参考文献No.296954
标题:Antitumour imidazotetrazines. 31. The synthesis of isotopically labelled temozolomide and a multinuclear (H-1, C-13, N-15) magnetic resonance investigation of temozolomide and mitozolomide
作者:Wilman, D.E.V.; Thomson, W.; Wheelhouse, R.T.; Stevens, M.F.G.
来源:J Chem Soc - Perkins Trans I 1995,3(3),249
合成路线图解说明:

The synthesis of several forms of [13C]- and [15N]-labeled temozolomide has been reported: 1) The diazotation of 3-aminopyrazole-4-carboxamide (I) with [15N]-labeled sodium nitrite and HCl gives the corresponding labeled diazonium salt (II), which is cyclized with methyl isocyanate (II) at room temperature, yielding temozolomide labeled at the N in the 2-position.

合成路线图解说明:

2) The condensation of N,N-diphenylcarbamoyl chloride (IV) with [13C]-labeled methylamine (V) gives the corresponding urea (VI), which by heating at 240 C is converted to the [13C]-labeled methyl isocyanate (VII). Finally, this compound is cyclized with the diazonium salt (VIII) (obtained by diazotation of 3-aminopyrazole-4-carbonitrile with NaNO2-HCl in the usual way) to afford temozolomide labeled at the methyl in the 3-position. 3) The preceding sequence performed with [15N]-labeled methylamine (X) gives urea (XI), isocyanate (XII) and finally temozolomide labeled at the N in the 3-position.

参考文献No.695689
标题:A new synthesis of temozolomide
作者:Wanner, M.J.; Koomen, G.J.
来源:J Chem Soc - Perkins Trans I 2002,(16),1877
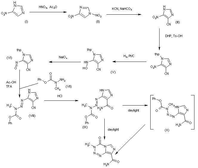
合成路线图解说明:

Further nitration of the nitroimidazole (I) with HNO3, Ac2O gives the 1,4-dinitroimidazole (II), which is treated with KCN and NaHCO3 in methanol/water to yield 5-nitro-1H-imidazole-4-carbonitrile (III). The reaction of (III) with dihydropyran and Ts-OH in ethyl acetate affords the N-protected imidazole (IV). The reduction of (IV) with H2 over Pt/C in ethyl acetate provides the hydroxylamine (V), which is oxidized with NaIO4 in ethyl acetate/water to give the nitroso derivative (VI). The condensation of (VI) with phenyl 2-methylcarbazate (VII) by means of HOAc and TFA yields the triazene (VIII), which is treated with conc. HCL in ethyl acetate to afford the carboxamide (IX). Finally, this compound is cyclized to the target imidazo-tetrazinone by irradiation with daylight in acetone/MeOH, most probably through the non isolated cis intermediate (X).

参考文献No.707355
标题:Antitumor imidazotetrazines. 40.(1) Radiosyntheses of [4-11C-carbonyl]- and 3-N-11C-methyl]-8-carbamoyl-3- methylimidazo[5,1-d]-1,2,3,5-tetrazin-4(3H)-one (temozolomide) for positron emission tomography (PET) studies
作者:Brown, G.D.; Luthra, S.K.; Brock, C.S.; Stevens, M.F.G.; Price, P.M.; Brady, F.
来源:J Med Chem 2002,45(25),5448
合成路线图解说明:

This compound has been obtained by two related ways: 1. The reaction of 5-diazoimidazole (I) with methylamine gives the triazene (II), which is then cyclized with 11C-phosgene (III) to yield the target 11C-carbonyl labeled compound. 2. The cyclization of 5-diazoimidazole-4-carboxamide (I) with 11C-carbonyl labeled methyl isocyanate (IV) gives the target 11C carbonyl labeled compound.

合成路线图解说明:

The cyclization of 5-diazoimidazole-4-carboxamide (I) with 11C-methyl isocyanate (II) gives the target 11C methyl labelled compound.

参考文献No.801773
标题:Triazines and related products, part 22. Synthesis and reactions of imidazo[5,1-c][1,2,4]triazines. J Chem Soc Perkin Trans I
作者:Stevens, M.F.G.; Baig, G.U.
来源:J Chem Soc - Perkins Trans I 1981,1424
合成路线图解说明:

By reaction of 5-diazoimidazole-4-carboxamide (II), prepared by diazotization of 5-aminoimidazole-4-carboxamide (I) with nitrous acid, with methylisocyanate (III) either alone or in dichloromethane.

Drug Information Express,Drug R&D,Chemical Database,Patent Search.
Copyright © 2006-2026 Drug Future. All rights reserved.Contact Us