【药物名称】NSC-322328, GYKI-17230
化学结构式(Chemical Structure):
参考文献No.52032
标题:GYKI-17230
作者:Kuszmann, J.; Cs醤yi, E.; Kir醠y, E.
来源:Drugs Fut 1987,12(1),18
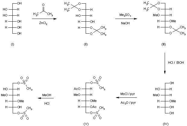
合成路线图解说明:

Condensation of D-mannitol (I) with acetone by means of zinc chloride gives 1,2,5,6-di-O isopropylidene-D-mannitol (II), which on treatment with dimethyl sulfate in DMSO in the presence of NaOH gives the 3,4-di-O-methyl derivative (III). Removal of the isopropylidene groups of (III) by HCl in boiling ethanol gives 3,4-di-O-methyl-o-mannitol (IV), a solution of which in pyridine is treated with methanesulfonyl chloride and subsequently with acetic anhydride to give 1,6-di-O-methylsulfonyl-2,5-di-O-acetyl-3,4-di-O-methyl-D-mannitol (V), deacetylation of which is carried out in methanol by means of hydrochloric acid.

Drug Information Express,Drug R&D,Chemical Database,Patent Search.
Copyright © 2006-2026 Drug Future. All rights reserved.Contact Us