【药物名称】Romurtide, Muroctasin, DJ-7041, MDP-Lys(L18), Nopia
化学结构式(Chemical Structure):
参考文献No.2146
标题:Muramyldipeptide derivatives, process for preparing said compounds and pharmaceutical compositions containing said compounds
作者:Shiba, T.; Yamamura, Y.; Nagase, O.; Kotani, S.; Ogawa, H. (Daiichi Seiyaku Co., Ltd.)
来源:EP 0021367
合成路线图解说明:

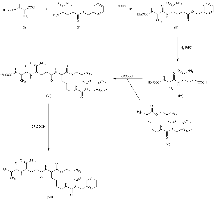
The condensation of tert-butoxycarbonyl-L-alanine (I) with benzyl D-isoglutaminate (II) by means of N-hydroxysuccinimide (NOHS) and dicyclohexylcarbodiimide (DCC) gives the protected dipeptide (III), which is hydrogenated with H2 over Pd/C in methanol yielding tert-butoxycarbonyl-D-isoglutaminyl-L-alanine (IV). The condensation of (IV) with Nepsilon-(benzyloxycarbonyl)-L-lysine benzyl ester (V) by means of ethyl chloroformate and triethylamine affords the protected tripeptide (VI), which is treated with trifluoroacetic acid (TFA) to afford L-alanyl-D-isoglutaminyl-(Nepsilon-benzyloxycarbonyl)-L-lysine benzyl ester (VII).

合成路线图解说明:

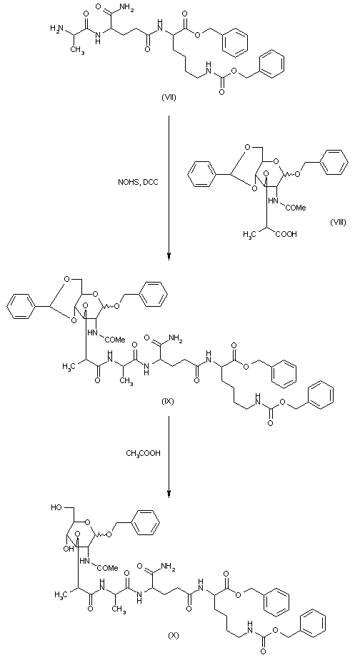
The condensation of (VII) with 1-O-benzyl-4,6-O-benzylidene-N-acetylmuramic acid (VIII) by means of NOHS and DCC as before gives the protected muramyl tripeptide (IX) , which is treated with acetic acid yielding the partially protected compound (X).

合成路线图解说明:

Hydrogenation of (X) with H2 over Pd/C in acetic acid affords Nalpha-(N-acetylmuramoyl-L-alanyl-D-isoglutaminyl)-L-lysine (XI), which is finally condensed with N-hydroxynorbornene-2,3-dicarboxyimide ester of stearic acid (XII) by means of N-methylmorpholine in DMF.

参考文献No.89820
标题:MUROCTASIN
作者:Robinson, C.P.
来源:Drugs Fut 1989,14(5),432
合成路线图解说明:

The condensation of tert-butoxycarbonyl-L-alanine (I) with benzyl D-isoglutaminate (II) by means of N-hydroxysuccinimide (NOHS) and dicyclohexylcarbodiimide (DCC) gives the protected dipeptide (III), which is hydrogenated with H2 over Pd/C in methanol yielding tert-butoxycarbonyl-D-isoglutaminyl-L-alanine (IV). The condensation of (IV) with Nepsilon-(benzyloxycarbonyl)-L-lysine benzyl ester (V) by means of ethyl chloroformate and triethylamine affords the protected tripeptide (VI), which is treated with trifluoroacetic acid (TFA) to afford L-alanyl-D-isoglutaminyl-(Nepsilon-benzyloxycarbonyl)-L-lysine benzyl ester (VII).

合成路线图解说明:

The condensation of (VII) with 1-O-benzyl-4,6-O-benzylidene-N-acetylmuramic acid (VIII) by means of NOHS and DCC as before gives the protected muramyl tripeptide (IX) , which is treated with acetic acid yielding the partially protected compound (X).

合成路线图解说明:

Hydrogenation of (X) with H2 over Pd/C in acetic acid affords Nalpha-(N-acetylmuramoyl-L-alanyl-D-isoglutaminyl)-L-lysine (XI), which is finally condensed with N-hydroxynorbornene-2,3-dicarboxyimide ester of stearic acid (XII) by means of N-methylmorpholine in DMF.

参考文献No.106379
标题:Chemical synthesis of N-acetylmuramyl peptides with partial structures of bacterial cell wall and their analogs in relation to immunoadjuvant activities. 1976, 49(2): 533-9
作者:Shiba, T.; Kusumoto, S.; Tarumi, Y.; Ikenaka, K.
来源:Bull Chem Soc Jpn 1976,49(2),533
合成路线图解说明:

The condensation of tert-butoxycarbonyl-L-alanine (I) with benzyl D-isoglutaminate (II) by means of N-hydroxysuccinimide (NOHS) and dicyclohexylcarbodiimide (DCC) gives the protected dipeptide (III), which is hydrogenated with H2 over Pd/C in methanol yielding tert-butoxycarbonyl-D-isoglutaminyl-L-alanine (IV). The condensation of (IV) with Nepsilon-(benzyloxycarbonyl)-L-lysine benzyl ester (V) by means of ethyl chloroformate and triethylamine affords the protected tripeptide (VI), which is treated with trifluoroacetic acid (TFA) to afford L-alanyl-D-isoglutaminyl-(Nepsilon-benzyloxycarbonyl)-L-lysine benzyl ester (VII).

合成路线图解说明:

The condensation of (VII) with 1-O-benzyl-4,6-O-benzylidene-N-acetylmuramic acid (VIII) by means of NOHS and DCC as before gives the protected muramyl tripeptide (IX) , which is treated with acetic acid yielding the partially protected compound (X).

合成路线图解说明:

Hydrogenation of (X) with H2 over Pd/C in acetic acid affords Nalpha-(N-acetylmuramoyl-L-alanyl-D-isoglutaminyl)-L-lysine (XI), which is finally condensed with N-hydroxynorbornene-2,3-dicarboxyimide ester of stearic acid (XII) by means of N-methylmorpholine in DMF.

Drug Information Express,Drug R&D,Chemical Database,Patent Search.
Copyright © 2006-2026 Drug Future. All rights reserved.Contact Us