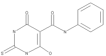
【药物名称】Merbarone, MB, NSC-336628
化学结构式(Chemical Structure):
参考文献No.2145
标题:Pyrimidine-5-carboxamide or thiocarboxamide derivs
作者:Brewer, A.D.; Minatelli, J.A. (Uniroyal Chemical Company, Inc.)
来源:BE 0901301; CH 671225; DE 3446371; ES 8606296; FR 2557108; GB 2152047; JP 1985166669; JP 1987174058
合成路线图解说明:

Merbarone can be prepared in 64% yield by stirring a mixture of 2-thiobarbituric acid (I) and phenyl isocyanate (II) for 4 h at 75-85 C in pyridine.

参考文献No.52025
标题:Merbarone
作者:Zee-Cheng, R.K.-Y.; Cheng, C.C.
来源:Drugs Fut 1987,12(3),217
合成路线图解说明:

Merbarone can be prepared in 64% yield by stirring a mixture of 2-thiobarbituric acid (I) and phenyl isocyanate (II) for 4 h at 75-85 C in pyridine.

Drug Information Express,Drug R&D,Chemical Database,Patent Search.
Copyright © 2006-2026 Drug Future. All rights reserved.Contact Us