【药物名称】Nivadipine, Nilvadipine, CL-287389, SK&F-102362, FK-235, FR-34235, Escor, Nivadil
化学结构式(Chemical Structure):
参考文献No.46331
标题:1,4-Dihydropyridine derivatives and pharmaceutical method of the same
作者:Satu, Y. (Fujisawa Pharmaceutical Co., Ltd.)
来源:BE 0879263; DE 2940833; FR 2438654; GB 2036722; US 4284634; US 4338322
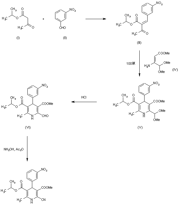
合成路线图解说明:

The condensation of isopropyl acetoacetate (I) with 3-nitrobenzaldehyde (II) gives isopropyl 2-(3-nitrobenzylidene)acetoacetate (III), which is cyclized with methyl 3-amino-4,4-dimethoxycrotonate (IV) at 100 C yielding 5-isopropyl-3-methyl-2-(dimethoxymethyl)-6-methyl-4-(3-nitropheny)-1,4-dihydropyridine-3,5-dicarboxylate (V). The hydrolysis of the acetal group of (V) with HCl in acetone affords the corresponding 2-formyl derivative (VI), which is finally treated with hydroxylamine and acetic anhydride in acetic acid at 100 C.

参考文献No.51991
标题:FR-34,235
作者:Blancafort, P.; Casta馿r, J.; Serradell, M.N.
来源:Drugs Fut 1983,8(9),776
合成路线图解说明:

The condensation of isopropyl acetoacetate (I) with 3-nitrobenzaldehyde (II) gives isopropyl 2-(3-nitrobenzylidene)acetoacetate (III), which is cyclized with methyl 3-amino-4,4-dimethoxycrotonate (IV) at 100 C yielding 5-isopropyl-3-methyl-2-(dimethoxymethyl)-6-methyl-4-(3-nitropheny)-1,4-dihydropyridine-3,5-dicarboxylate (V). The hydrolysis of the acetal group of (V) with HCl in acetone affords the corresponding 2-formyl derivative (VI), which is finally treated with hydroxylamine and acetic anhydride in acetic acid at 100 C.

参考文献No.261974
标题:Studies on nilvadipine. IV. Synthesis of deuterated and optically active isopropyl 2-cyano-3-methoxycarbonyl-4-(3-nitrophenyl)-6-methyl-1,4-dihydropyridine-5-carboxylate (nilvadipine)
作者:Satoh, Y.; Okumura, K.; Shiokawa, Y.
来源:Chem Pharm Bull 1994,42(4),950
合成路线图解说明:

1) The synthesis of deuterated nilvadipine has been reported: The selective hydrolysis of nilvadipine (I) with lithium iodide and pyridine gives the monolithium salt (II), which is then treated with perdeuterated methanol and 2-bromo-1-methylpyridinium bromide and dimethylaniline in DMF.

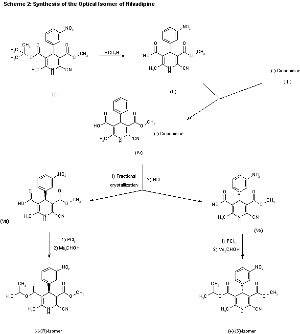
合成路线图解说明:

2) The optical isomers of nilvidapine have also been synthesized: The selective hydrolysis of nilvadipine (I) with formic acid gives the monocarboxylic acid (II), which is treated with (-)-cinconidine, yielding the corresponding salt (IV) as a diastereomeric mixture, which is separated by fractional crystallization to give, after hydrolysis with HCl, 2-cyano-3-(methoxycarbonyl)-6-methyl-4(R)-(3-nitrophenyl)-1,4-dihydropy ridine-5-carboxylic acid (Va) and 2-cyano-3-(methoxycarbonyl)-6-methyl-4(S)-(3-nitrophenyl)-1,4-dihydropy ridine-5-carboxylic acid (Vb) as pure optical isomers. Both compounds are esterified by conversion to the corresponding acyl chlorides with PCl5 and esterification with isopropyl alcohol.

Drug Information Express,Drug R&D,Chemical Database,Patent Search.
Copyright © 2006-2026 Drug Future. All rights reserved.Contact Us