【药物名称】Moxantrazole, Teloxantrone, DuP-937, CI-937, PD-113309, NSC-355644
化学结构式(Chemical Structure):
参考文献No.51984
标题:CI-937 and CI-942
作者:Hoshi, A.
来源:Drugs Fut 1986,11(3),179
合成路线图解说明:

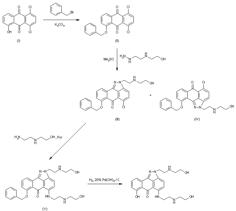
Treatment of 1,4-dichloro-5,8-dihydroxy-9,10-anthracenedione (I) with K2CO3 and benzyl bromide gives the benzyl ether (II) in refluxing acetone, which, followed by treatment with 2-[(2-hydrazinoethyl)amino]ethanol in anhydrous Me2SO, gives product (III). Treatment of product (III) with excess [(2-aminoethyl)amino]methane in refluxing pyridine gives the 玹wo armed?compound, which, followed by treatment with Pearlman's catalyst in glacial AcOH, gives the target compound CI-937.

参考文献No.107475
标题:5-[(Aminoalkyl)amino]-substituted anthra[1, 9-cd]pyrazol-6(2H)-ones as novel anticancer agents. Synthesis and biological evaluation
作者:Showalter, H.D.H.; Johnson, J.L.; Werbel, L.M.; Leopold, W.R.; Jackson, R.C.; Elslager, E.F.
来源:J Med Chem 1984,27(3),253-5
合成路线图解说明:

Treatment of 1,4-dichloro-5,8-dihydroxy-9,10-anthracenedione (I) with K2CO3 and benzyl bromide gives the benzyl ether (II) in refluxing acetone, which, followed by treatment with 2-[(2-hydrazinoethyl)amino]ethanol in anhydrous Me2SO, gives product (III). Treatment of product (III) with excess [(2-aminoethyl)amino]methane in refluxing pyridine gives the 玹wo armed?compound, which, followed by treatment with Pearlman's catalyst in glacial AcOH, gives the target compound CI-937.

合成路线图解说明:

1,4-Dichloro-5-hydroxy-9,10-anthracenedione (I) is alkylated with powdered potassium carbonate and benzyl bromide to give the ether (II). The ether is condensed with threee equivalents of 2-[(2-hydrazinoethyl)amino]ethanol in anhydrous dimethylsulfoxide to give regioisomers (III) and (IV), which are separated by flash silica gel chromatography. The isomer (III) is reacted with an excess of 2-[(2-aminoethyl)amino]ethanol in refluxing pyridine to give the intermediate (V). The intermediate is converted to the 10-hydroxy isomer by hydrogenolysis of the benzyl protecting group with Pearlman's catalyst in glacial acetic acid, followed by dihydrochloride salt formation.

参考文献No.700371
标题:
作者:
来源:Proc Amer Assoc Cancer Res 1984,25(1),352
合成路线图解说明:

Treatment of 1,4-dichloro-5,8-dihydroxy-9,10-anthracenedione (I) with K2CO3 and benzyl bromide gives the benzyl ether (II) in refluxing acetone, which, followed by treatment with 2-[(2-hydrazinoethyl)amino]ethanol in anhydrous Me2SO, gives product (III). Treatment of product (III) with excess [(2-aminoethyl)amino]methane in refluxing pyridine gives the 玹wo armed?compound, which, followed by treatment with Pearlman's catalyst in glacial AcOH, gives the target compound CI-937.

Drug Information Express,Drug R&D,Chemical Database,Patent Search.
Copyright © 2006-2026 Drug Future. All rights reserved.Contact Us