【药物名称】Fluconazole, UK-49858, Zoltec, Loitin, Triflucan, Diflucan
化学结构式(Chemical Structure):
参考文献No.10250
标题:Triazoles
作者:Richardson, K. (Pfizer Inc.)
来源:GB 2099818; US 4404216
合成路线图解说明:

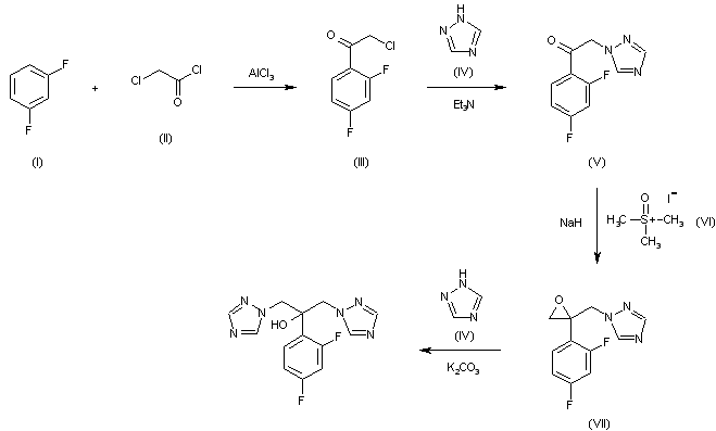
The Friedel-Crafts' condensation of 1,3-difluorobenzene (I) with chloroacetyl chloride (II) by means of AlCl3 yields alpha-chloro-2,4-difluoroacetophenone (III), which is treated with 1,2,4-triazole (IV) and triethylamine in refluxing ethyl acetate giving alpha-(1H-12,4-triazol-1-yl)-2,4-diftuoroacetophenone (V). The reaction of (V) with trimethylsulfoxonium iodide (VI) by means of NaOH in toluene affords 1-[2-(2,4-di fluorophenyl)-2,3-epoxypropyl]-1H-1,2,4-triazole (VII), which is finally treated again with 1,2,4-triazole (IV) and K2CO3 in hot DMF.

参考文献No.10251
标题:Triazole antifungal agents
作者:Narayanaswami, S.; Richardson, K. (Pfizer Inc.)
来源:EP 0096569; ES 523038
合成路线图解说明:

The Friedel-Crafts' condensation of 1,3-difluorobenzene (I) with chloroacetyl chloride (II) by means of AlCl3 yields alpha-chloro-2,4-difluoroacetophenone (III), which is treated with 1,2,4-triazole (IV) and triethylamine in refluxing ethyl acetate giving alpha-(1H-12,4-triazol-1-yl)-2,4-diftuoroacetophenone (V). The reaction of (V) with trimethylsulfoxonium iodide (VI) by means of NaOH in toluene affords 1-[2-(2,4-di fluorophenyl)-2,3-epoxypropyl]-1H-1,2,4-triazole (VII), which is finally treated again with 1,2,4-triazole (IV) and K2CO3 in hot DMF.

参考文献No.51933
标题:Fluconazole
作者:Fromtling, R.A.; Casta馿r, J.; Serradell, M.N.
来源:Drugs Fut 1985,10(12),982
合成路线图解说明:

The Friedel-Crafts' condensation of 1,3-difluorobenzene (I) with chloroacetyl chloride (II) by means of AlCl3 yields alpha-chloro-2,4-difluoroacetophenone (III), which is treated with 1,2,4-triazole (IV) and triethylamine in refluxing ethyl acetate giving alpha-(1H-12,4-triazol-1-yl)-2,4-diftuoroacetophenone (V). The reaction of (V) with trimethylsulfoxonium iodide (VI) by means of NaOH in toluene affords 1-[2-(2,4-di fluorophenyl)-2,3-epoxypropyl]-1H-1,2,4-triazole (VII), which is finally treated again with 1,2,4-triazole (IV) and K2CO3 in hot DMF.

Drug Information Express,Drug R&D,Chemical Database,Patent Search.
Copyright © 2006-2026 Drug Future. All rights reserved.Contact Us