【药物名称】Paroxetine, NNC-20-7051, BRL-29060, FG-7051
化学结构式(Chemical Structure):
参考文献No.2049
标题:Piperidine derivs., their preparation and their use as medicaments
作者:Lynch, I.R.; Richardson, J.E.; Buxton, P.C.; Curzons, A.D.; Wood-Kaezmar, M.W.; Barnes, R.D. (Ferrosan A/S; SmithKline Beecham plc)
来源:EP 0223403; JP 1987129280; US 4721723
合成路线图解说明:

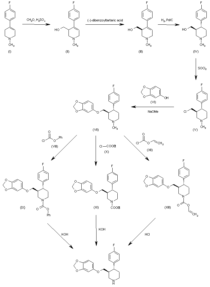
The reaction of 4-(4-fluorophenyl)-1-methyl-1,2,3,6-tetrahydropyridine (I) with formaldehyde and H2SO4 gives racemic 4-(4-fluorophenyl)-3-(hydroxymethyl)-1-methyl-1,2,3,6-tetrahydropyridine (II), which is submitted to optical resolution with (-)-dibenzoyltartaric acid, yielding the 3(S)-enantiomer (III). The reduction of (III) with H2 over Pd/C in ethanol affords trans-(3S,4R)-4-(4-fluorophenyl)-3-(hydroxymethyl)-1-methylpiperidine (IV), which is treated with SOCl2 to provide the corresponding chloromethyl derivative (V). The condensation of (V) with 1,3-benzodioxol-5-ol (VI) by means of NaOMe in methanol furnishes trans-(3S,4R)-3-(1,3-benzodioxol-5-yloxymethyl)-4-(4-fluorophenyl)-1-methylpiperidine (VII) , which is condensed with phenyl chloroformate (VIII) in dichloromethane to afford the phenyl carbamate (IX). Finally, the phenoxycarbonyl group of (IX) is removed by treatment with KOH in refluxing methylcellosolve or in refluxing toluene. Alternatively, the reaction of methylpiperidine (VII) with ethyl chloroformate (X) in toluene gives the ethyl carbamate (XI), which is finally treated with KOH in refluxing ethanol/water in order to eliminate its ethoxycarbonyl group. Alternatively, the reaction of methylpiperidine (VII) with vinyl chloroformate (XII) in dichloromethane gives the vinyl carbamate (XIII), which is finally treated with dry HCl gas in refluxing dichloromethane/methanol in order to eliminate its vinyloxycarbonyl group.

参考文献No.34980
标题:Prostaglandin derivs.
作者:Sato, F.; Amano, T.; Kameo, K.; Tanami, T.; Muto, K.; Ono, N.; Goto, J. (Taisho Pharmaceutical Co., Ltd.)
来源:JP 1997286775
合成路线图解说明:

The reaction of 4-(4-fluorophenyl)-1-methyl-1,2,3,6-tetrahydropyridine (I) with formaldehyde and H2SO4 gives racemic 4-(4-fluorophenyl)-3-(hydroxymethyl)-1-methyl-1,2,3,6-tetrahydropyridine (II), which is submitted to optical resolution with (-)-dibenzoyltartaric acid, yielding the 3(S)-enantiomer (III). The reduction of (III) with H2 over Pd/C in ethanol affords trans-(3S,4R)-4-(4-fluorophenyl)-3-(hydroxymethyl)-1-methylpiperidine (IV), which is treated with SOCl2 to provide the corresponding chloromethyl derivative (V). The condensation of (V) with 1,3-benzodioxol-5-ol (VI) by means of NaOMe in methanol furnishes trans-(3S,4R)-3-(1,3-benzodioxol-5-yloxymethyl)-4-(4-fluorophenyl)-1-methylpiperidine (VII) , which is condensed with phenyl chloroformate (VIII) in dichloromethane to afford the phenyl carbamate (IX). Finally, the phenoxycarbonyl group of (IX) is removed by treatment with KOH in refluxing methylcellosolve or in refluxing toluene. Alternatively, the reaction of methylpiperidine (VII) with ethyl chloroformate (X) in toluene gives the ethyl carbamate (XI), which is finally treated with KOH in refluxing ethanol/water in order to eliminate its ethoxycarbonyl group. Alternatively, the reaction of methylpiperidine (VII) with vinyl chloroformate (XII) in dichloromethane gives the vinyl carbamate (XIII), which is finally treated with dry HCl gas in refluxing dichloromethane/methanol in order to eliminate its vinyloxycarbonyl group.

参考文献No.37809
标题:Chemical process for the reduction of 1-substd.-3-hydroxymethyl-4-(4-fluorophenyl)tetrahydropyridines
作者:Brennan, J.P. (Abbott GmbH & Co. KG)
来源:US 6326496; WO 9852920
合成路线图解说明:

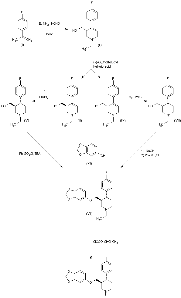
The cyclization of 4-fluoro-alpha-methylstyrene (I) with ethylamine and refluxing aqueous formaldehyde gives (rac)-1-ethyl-3-(hydroxymethyl)-4-(4-fluorophenyl)-1,2,3,6-tetrahydropyridine (II), which is submitted to optical resolution by means of (-)-di-O-toluoyltartaric acid to yield (S)-isomer (III) and (R)-isomer (IV). The reduction of (S)-isomer (III) by means of LiAlH4 in THF yields (3S)-trans-1-ethyl-3-(hydroxymethyl)-4-(4-fluorophenyl)piperidine (V), which is condensed with 1,3-benzodioxol-5-ol (VI) by means of benzenesulfonyl chloride and TEA in dichloroethane to afford the aryl ether (VII). Finally, the ethyl group of (VII) is cleaved by means of 1-chloroethyl chloroformate and NaOH in toluene/water, followed by a treatment in refluxing methanol to provide the target paroxetine. The (R)-isomer (IV) can be profited by its reduction with H2 over Pd/C in methanol/AcOH/water to give (3R)-cis-1-ethyl-3-(hydroxymethyl)-4-(4-fluorophenyl)piperidine) (VIII), which is isomerized by means of NaOH in toluene/water and condensed with 1,3-benzodioxol-5-ol (VI) and NaOH in toluene/water to yield the already described aryl ether (VII).

参考文献No.46338
标题:4-Phenylpiperidine compounds
作者:Christensen, J.A.; Squires, R.F. (Ferrosan A/S)
来源:DE 2404113; ES 422734; FR 2215233; GB 1422263; JP 58174363; US 3912743
合成路线图解说明:

By condensation of 4-(4-fluorophenyl)-3-(hydroxymethyl)piperidine (I) with 3,4-methylenedioxyphenol (II) with dicyclohexylcarbodiimide (DCC) at 180 C.

合成路线图解说明:

The reaction of 4-(4-fluorophenyl)-1-methyl-1,2,3,6-tetrahydropyridine (I) with formaldehyde and H2SO4 gives racemic 4-(4-fluorophenyl)-3-(hydroxymethyl)-1-methyl-1,2,3,6-tetrahydropyridine (II), which is submitted to optical resolution with (-)-dibenzoyltartaric acid, yielding the 3(S)-enantiomer (III). The reduction of (III) with H2 over Pd/C in ethanol affords trans-(3S,4R)-4-(4-fluorophenyl)-3-(hydroxymethyl)-1-methylpiperidine (IV), which is treated with SOCl2 to provide the corresponding chloromethyl derivative (V). The condensation of (V) with 1,3-benzodioxol-5-ol (VI) by means of NaOMe in methanol furnishes trans-(3S,4R)-3-(1,3-benzodioxol-5-yloxymethyl)-4-(4-fluorophenyl)-1-methylpiperidine (VII) , which is condensed with phenyl chloroformate (VIII) in dichloromethane to afford the phenyl carbamate (IX). Finally, the phenoxycarbonyl group of (IX) is removed by treatment with KOH in refluxing methylcellosolve or in refluxing toluene. Alternatively, the reaction of methylpiperidine (VII) with ethyl chloroformate (X) in toluene gives the ethyl carbamate (XI), which is finally treated with KOH in refluxing ethanol/water in order to eliminate its ethoxycarbonyl group. Alternatively, the reaction of methylpiperidine (VII) with vinyl chloroformate (XII) in dichloromethane gives the vinyl carbamate (XIII), which is finally treated with dry HCl gas in refluxing dichloromethane/methanol in order to eliminate its vinyloxycarbonyl group.

参考文献No.46522
标题:Process for the preparation of paroxetine and structurally related cpds.
作者:Lucas, E. (SmithKline Beecham plc)
来源:WO 0078753
合成路线图解说明:

The reaction of 4-(4-fluorophenyl)-1-methyl-1,2,3,6-tetrahydropyridine (I) with formaldehyde and H2SO4 gives racemic 4-(4-fluorophenyl)-3-(hydroxymethyl)-1-methyl-1,2,3,6-tetrahydropyridine (II), which is submitted to optical resolution with (-)-dibenzoyltartaric acid, yielding the 3(S)-enantiomer (III). The reduction of (III) with H2 over Pd/C in ethanol affords trans-(3S,4R)-4-(4-fluorophenyl)-3-(hydroxymethyl)-1-methylpiperidine (IV), which is treated with SOCl2 to provide the corresponding chloromethyl derivative (V). The condensation of (V) with 1,3-benzodioxol-5-ol (VI) by means of NaOMe in methanol furnishes trans-(3S,4R)-3-(1,3-benzodioxol-5-yloxymethyl)-4-(4-fluorophenyl)-1-methylpiperidine (VII) , which is condensed with phenyl chloroformate (VIII) in dichloromethane to afford the phenyl carbamate (IX). Finally, the phenoxycarbonyl group of (IX) is removed by treatment with KOH in refluxing methylcellosolve or in refluxing toluene. Alternatively, the reaction of methylpiperidine (VII) with ethyl chloroformate (X) in toluene gives the ethyl carbamate (XI), which is finally treated with KOH in refluxing ethanol/water in order to eliminate its ethoxycarbonyl group. Alternatively, the reaction of methylpiperidine (VII) with vinyl chloroformate (XII) in dichloromethane gives the vinyl carbamate (XIII), which is finally treated with dry HCl gas in refluxing dichloromethane/methanol in order to eliminate its vinyloxycarbonyl group.

参考文献No.48868
标题:Process for the preparation of paroxetine
作者:Borrett, G.T.; Ward, N.; Crowe, D.; Wells, A.S. (GlaxoSmithKline plc)
来源:WO 0129031
合成路线图解说明:

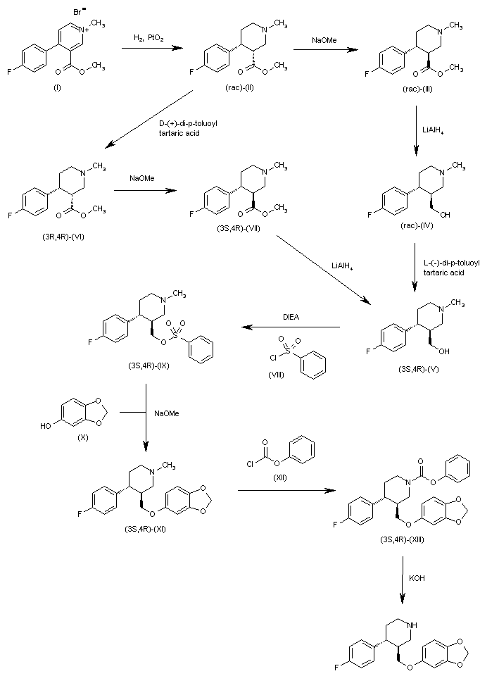
The hydrogenation of 4-(4-fluorophenyl)-3-(ethoxycarbonyl)-1-methylpyridinium bromide (I) with H2 over PtO2 in toluene/ethanol gives racemic (cis)-4-(4-fluorophenyl)-1-methylpiperidine-3-carboxylic acid methyl ester (rac)-(II), which is isomerized with NaOMe in refluxing toluene to yield the trans-isomer (rac)-(III). The reduction of (rac)-(III) with LiAlH4 in toluene/THF affords the hydroxymethyl compound (rac)-(IV), which is submitted to optical resolution with L-(-)-di-p-toluoyltartaric acid to provide the chiral (3S,4R)-(V). Alternatively, the optical resolution of (cis)-(rac)-(II) with D-(+)-di-p-toluoyltartaric acid gives the ester (cis)-(3R,4R)-(VI), which is isomerized with NaOMe in refluxing toluene to yield ester (trans)-(3S,4R)-(VII). Finally, this compound is reduced with LiAlH4 in toluene/THF to afford the previously reported intermediate (3S,4R)-(V). The reaction of (3S,4R)-(V) with benzenesulfonyl chloride (VIII) and dimethylethylamine in toluene gives the corresponding sulfonate (3S,4R)-(IX), which is condensed with 5-hydroxy-1,3-benzodioxole (X) by means of NaOMe in hot DMF to yield the adduct (3S,4R)-(XI). Finally, this compound is demethylated by reaction with phenyl chloroformate (XII) to afford the cyclic carbamate (3S,4R)-(XIII), which is hydrolyzed with KOH in refluxing toluene.

参考文献No.51927
标题:Lipophilic diesters of chelating agents
作者:Kozak, A.; Shapiro, I. (D-Pharm Ltd.)
来源:JP 2001518458; WO 9916741
合成路线图解说明:

By condensation of 4-(4-fluorophenyl)-3-(hydroxymethyl)piperidine (I) with 3,4-methylenedioxyphenol (II) with dicyclohexylcarbodiimide (DCC) at 180 C.

合成路线图解说明:

Treatment of 1,2-bis-(2-aminophenoxy)ethane-N,N,N',N'-tetraacetic acid (I) with acetic anhydride and pyridine provided the cyclic anhydride (II). Ethylene glycol octyl ether (V) was prepared by Williamson's synthesis from the sodium alkoxide of ethylene glycol (III) and n-octyl bromide (IV). Finally, the title diester was obtained by heating anhydride (II) with the octyl ether of ethyleneglycol (V).

合成路线图解说明:

Treatment of bis(2-aminophenoxy)ethane-N,N,N',N'-tetraacetic acid (I) with acetic anhydride in hot pyridine produced the cyclic anhydride (II). Ethyleneglycol mono-ether (V) was prepared by Williamson's synthesis from the sodium alkoxide of ethylene glycol (IV) and octadecyl bromide (III). Then, heating the bis-anhydride (II) with ethyleneglycol monoether (V) produced the title diester

参考文献No.53186
标题:Ethyl 4-(4-fluorophenyl)-2-piperidinone-5-carboxylate and process for obtaining it
作者:Bosch Rovira, A.; Dalmases Barjoan, P.; Marquilla Ol髇driz, F.; Herbera Espinal, M.R.; Carulla Oliver, J.M. (Laboratorios Vita, SA)
来源:ES 2121682
合成路线图解说明:

The condensation of 4-fluorocinnamic acid ethyl ester (I) with cyanacetic acid ethyl ester (II) by means of NaOEt in ethanol gives 2-cyano-3-(4-fluorophenyl)glutaric acid diethyl ester (III). Alternatively, glutarate (III) can also be obtained by condensation of 4-fluorobenzaldehyde (V) with cyanacetic ester (II) and acetic acid ethyl ester (VI). The reduction of the cyano group of (III) with H2 over PtO2 in ethanol, followed by cyclization in refluxing toluene, yields 4-(4-fluorophenyl)-6-oxopiperidine-3-carboxylic acid ethyl ester (IV) as a mixture of the cis- and trans-isomers. The reaction of the mixture (IV) with EtONa in refluxing toluene causes isomerization of the cis-isomer, affording (rac)-trans-4-(4-fluorophenyl)-6-oxopiperidine-3-carboxylic acid ethyl ester (VII), which is reduced with LiAlH4 or borane (NaBH4/BF3) to provide the (rac)-(trans)-hydroxymethylpiperidine (VIII). Finally, this compound is reductively methylated by treatment with formaldehyde and H2 over Pd/C in ethanol to furnish (rac)-(trans)-4-(4-fluorophenyl)-3-(hydroxymethyl)-1-methylpiperidine (IX), the desired intermediate. Alternatively, the cis/trans mixture 4-(4-fluorophenyl)-6-oxopiperidine-3-carboxylic acid ethyl ester (IV) can be methylated first with formaldehyde as before to give 4-(4-fluorophenyl)-1-methyl-6-oxopiperidine-3-carboxylic acid ethyl ester (X), also as a cis/trans mixture. This mixture is treated with EtONa in refluxing toluene to yield (rac)-(trans)-4-(4-fluorophenyl)-1-methyl-6-oxopiperidine-3-carboxylic acid ethyl ester (XI). Finally, this compound is reduced with LiAlH4 in THF/toluene to afford the previously described target intermediate (IX).

参考文献No.53187
标题:Process for obtaining ethyl (?-cis/(?-trans-4-(4-fluorophenyl)-1-methylpiperidine-3-carboxylate
作者:Bosch Rovira, A.; Dalmases Barjoan, P.; Herbera Espinal, M.R.; Carulla Oliver, J.M.; Marquillas Ol髇driz, F. (Laboratorios Vita, SA)
来源:ES 2121684
合成路线图解说明:

The condensation of 4-fluorocinnamic acid ethyl ester (I) with cyanacetic acid ethyl ester (II) by means of NaOEt in ethanol gives 2-cyano-3-(4-fluorophenyl)glutaric acid diethyl ester (III). Alternatively, glutarate (III) can also be obtained by condensation of 4-fluorobenzaldehyde (V) with cyanacetic ester (II) and acetic acid ethyl ester (VI). The reduction of the cyano group of (III) with H2 over PtO2 in ethanol, followed by cyclization in refluxing toluene, yields 4-(4-fluorophenyl)-6-oxopiperidine-3-carboxylic acid ethyl ester (IV) as a mixture of the cis- and trans-isomers. The reaction of the mixture (IV) with EtONa in refluxing toluene causes isomerization of the cis-isomer, affording (rac)-trans-4-(4-fluorophenyl)-6-oxopiperidine-3-carboxylic acid ethyl ester (VII), which is reduced with LiAlH4 or borane (NaBH4/BF3) to provide the (rac)-(trans)-hydroxymethylpiperidine (VIII). Finally, this compound is reductively methylated by treatment with formaldehyde and H2 over Pd/C in ethanol to furnish (rac)-(trans)-4-(4-fluorophenyl)-3-(hydroxymethyl)-1-methylpiperidine (IX), the desired intermediate. Alternatively, the cis/trans mixture 4-(4-fluorophenyl)-6-oxopiperidine-3-carboxylic acid ethyl ester (IV) can be methylated first with formaldehyde as before to give 4-(4-fluorophenyl)-1-methyl-6-oxopiperidine-3-carboxylic acid ethyl ester (X), also as a cis/trans mixture. This mixture is treated with EtONa in refluxing toluene to yield (rac)-(trans)-4-(4-fluorophenyl)-1-methyl-6-oxopiperidine-3-carboxylic acid ethyl ester (XI). Finally, this compound is reduced with LiAlH4 in THF/toluene to afford the previously described target intermediate (IX).

参考文献No.53188
标题:Process for obtaining (?-trans-4-(4-fluorophenyl)-3-hydroxymethyl-1-methylpiperidine
作者:Bosch Rovira, A.; Dalmases Barjoan, P.; Herbera Espinal, M.R.; Carulla Oliver, J.M.; Marquillas Ol髇driz, F. (Laboratorios Vita, SA)
来源:ES 2121685
合成路线图解说明:

The condensation of 4-fluorocinnamic acid ethyl ester (I) with cyanacetic acid ethyl ester (II) by means of NaOEt in ethanol gives 2-cyano-3-(4-fluorophenyl)glutaric acid diethyl ester (III). Alternatively, glutarate (III) can also be obtained by condensation of 4-fluorobenzaldehyde (V) with cyanacetic ester (II) and acetic acid ethyl ester (VI). The reduction of the cyano group of (III) with H2 over PtO2 in ethanol, followed by cyclization in refluxing toluene, yields 4-(4-fluorophenyl)-6-oxopiperidine-3-carboxylic acid ethyl ester (IV) as a mixture of the cis- and trans-isomers. The reaction of the mixture (IV) with EtONa in refluxing toluene causes isomerization of the cis-isomer, affording (rac)-trans-4-(4-fluorophenyl)-6-oxopiperidine-3-carboxylic acid ethyl ester (VII), which is reduced with LiAlH4 or borane (NaBH4/BF3) to provide the (rac)-(trans)-hydroxymethylpiperidine (VIII). Finally, this compound is reductively methylated by treatment with formaldehyde and H2 over Pd/C in ethanol to furnish (rac)-(trans)-4-(4-fluorophenyl)-3-(hydroxymethyl)-1-methylpiperidine (IX), the desired intermediate. Alternatively, the cis/trans mixture 4-(4-fluorophenyl)-6-oxopiperidine-3-carboxylic acid ethyl ester (IV) can be methylated first with formaldehyde as before to give 4-(4-fluorophenyl)-1-methyl-6-oxopiperidine-3-carboxylic acid ethyl ester (X), also as a cis/trans mixture. This mixture is treated with EtONa in refluxing toluene to yield (rac)-(trans)-4-(4-fluorophenyl)-1-methyl-6-oxopiperidine-3-carboxylic acid ethyl ester (XI). Finally, this compound is reduced with LiAlH4 in THF/toluene to afford the previously described target intermediate (IX).

参考文献No.53189
标题:Piperidinone deriv., process for obtaining it and process for using it
作者:Dalmases Barjoan, P.; Carulla Oliver, J.M.; Moreno Ma馻s, M.; P閞ez, M. (Laboratorios Vita, SA)
来源:ES 2137131
合成路线图解说明:

The condensation of cinnamic nitrile (I) with diethyl malonate (II) by means of K2CO3 and tetrabutylammonium bromide in refluxing acetone or NaOEt in refluxing ethyl acetate gives 2-[2-cyano-1-(4-fluorophenyl)ethyl]malonic acid diethyl ester (III), which is cyclized by reduction of its cyano group with H2 over PtO2 in ethanol/conc. HCl or over Ru/C in ethanol to yield (rac)-(trans)-4-(4-fluorophenyl)-2-oxopiperidine-3-carboxylic acid ethyl ester (IV). Finally, this compound is reduced with NaBH4 in THF to afford (rac)-(trans)-4-(4-fluorophenyl)-3-(hydroxymethyl)piperidine (V), the target intermediate.

参考文献No.57206
标题:Process to produce paroxetine
作者:Lemmens, J.M.; Peters, T.H.A.; Picha, F. (Synthon BV)
来源:WO 0266466
合成路线图解说明:

The reaction of 4-(4-fluorophenyl)-1-methyl-1,2,3,6-tetrahydropyridine (I) with formaldehyde and H2SO4 gives racemic 4-(4-fluorophenyl)-3-(hydroxymethyl)-1-methyl-1,2,3,6-tetrahydropyridine (II), which is submitted to optical resolution with (-)-dibenzoyltartaric acid, yielding the 3(S)-enantiomer (III). The reduction of (III) with H2 over Pd/C in ethanol affords trans-(3S,4R)-4-(4-fluorophenyl)-3-(hydroxymethyl)-1-methylpiperidine (IV), which is treated with SOCl2 to provide the corresponding chloromethyl derivative (V). The condensation of (V) with 1,3-benzodioxol-5-ol (VI) by means of NaOMe in methanol furnishes trans-(3S,4R)-3-(1,3-benzodioxol-5-yloxymethyl)-4-(4-fluorophenyl)-1-methylpiperidine (VII) , which is condensed with phenyl chloroformate (VIII) in dichloromethane to afford the phenyl carbamate (IX). Finally, the phenoxycarbonyl group of (IX) is removed by treatment with KOH in refluxing methylcellosolve or in refluxing toluene. Alternatively, the reaction of methylpiperidine (VII) with ethyl chloroformate (X) in toluene gives the ethyl carbamate (XI), which is finally treated with KOH in refluxing ethanol/water in order to eliminate its ethoxycarbonyl group. Alternatively, the reaction of methylpiperidine (VII) with vinyl chloroformate (XII) in dichloromethane gives the vinyl carbamate (XIII), which is finally treated with dry HCl gas in refluxing dichloromethane/methanol in order to eliminate its vinyloxycarbonyl group.

参考文献No.60849
标题:Process for preparing 4-aryl-piperidine derivs.
作者:Hansen, J.B.; Engelstoft, M.; Treppendahl, S.; Bentzen, B.; Lehmann, S. (Novo Nordisk A/S)
来源:CA 2220963; EP 0828735; WO 9636636
合成路线图解说明:

The cyclization of 4-fluoro-alpha-methylstyrene (I) with ethylamine and refluxing aqueous formaldehyde gives (rac)-1-ethyl-3-(hydroxymethyl)-4-(4-fluorophenyl)-1,2,3,6-tetrahydropyridine (II), which is submitted to optical resolution by means of (-)-di-O-toluoyltartaric acid to yield (S)-isomer (III) and (R)-isomer (IV). The reduction of (S)-isomer (III) by means of LiAlH4 in THF yields (3S)-trans-1-ethyl-3-(hydroxymethyl)-4-(4-fluorophenyl)piperidine (V), which is condensed with 1,3-benzodioxol-5-ol (VI) by means of benzenesulfonyl chloride and TEA in dichloroethane to afford the aryl ether (VII). Finally, the ethyl group of (VII) is cleaved by means of 1-chloroethyl chloroformate and NaOH in toluene/water, followed by a treatment in refluxing methanol to provide the target paroxetine. The (R)-isomer (IV) can be profited by its reduction with H2 over Pd/C in methanol/AcOH/water to give (3R)-cis-1-ethyl-3-(hydroxymethyl)-4-(4-fluorophenyl)piperidine) (VIII), which is isomerized by means of NaOH in toluene/water and condensed with 1,3-benzodioxol-5-ol (VI) and NaOH in toluene/water to yield the already described aryl ether (VII).

参考文献No.62120
标题:Process for making paroxetine
作者:Ward, N. (GlaxoSmithKline plc)
来源:US 6172233
合成路线图解说明:

The condensation of 1-methyl-1,2,5,6-tetrahydropyridine-3-carboxylic acid methyl ester (I) with 4-fluorophenylmagnesium bromide (II) in toluene, ether/toluene or ether/dichloromethane gives 1-methyl-4-(4-fluorophenyl)piperidine-3-carboxylic acid methyl ester (III) / (IV), which are an intermediates in the synthesis of paroxetine.(Scheme 10786008a).

参考文献No.68852
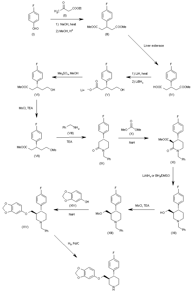
标题:Process for making paroxetine
作者:Jacewicz, V.W.; Shapiro, E.; Yu, M.S. (GlaxoSmithKline plc)
来源:CA 2291251; EP 0986389; US 2002133011; US 6489347; US 6716985; WO 9853824
合成路线图解说明:

The condensation of 4-fluorobenzaldehyde (I) with ethyl acetoacetate (II) by means of piperidine, followed by a treatment with hot NaOH and esterification with methanol in acid medium, gives 3-(4-fluorophenyl)glutaric acid dimethyl ester (III), which is stereoselectively hydrolyzed with liver esterase in aqueous acetone, yielding the monoester (IV) with a 95% ee. The selective reduction of the ester group of (IV) with LiH and LiBH4 in THF affords the chiral 5-hydroxypentanoic acid (V), which is esterified with dimethyl sulfate in methanol to the corresponding methyl ester (VI). The reaction of (VI) with MsCl and TEA in toluene gives the mesylate (VII), which is cyclized with benzylamine (VIII) and TEA in toluene, affording the chiral piperidone (IX).The reaction of (IX) with dimethyl carbonate (X) and NaH in hot toluene yields the chiral carboxylate (XI), which is reduced at the carboxylate and ketonic groups with LiAlH4 or BH3 in DMSO, providing the chiral piperidine methanol derivative (XII). The reaction of (XII) with MsCl and TEA in toluene yields the mesylate (XIII), which is condensed with the phenol derivative (XIV) by means of NaH in hot DMF, affording the adduct (XV). Finally, this compound is debenzylated by hydrogenation with H2 over Pd/C. (1,2)

参考文献No.225578
标题:The synthesis of [methylene-14C]paroxetine BRL 29060A
作者:Lawrie, K.W.M.; Rustidge, D.C.
来源:J Label Compd Radiopharm 1993,33(8),777
合成路线图解说明:

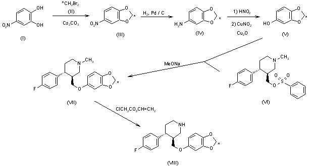
A synthesis of [14C]-paroxetine labeled at the methylenedioxy group has been described: 4-Nitropyrocatechol (I) is cyclized with [14C]-CH2Br2 by means of cesium carbonate in DMSO, giving 3,4-(methylenedioxy)nitrobenzene (III). The reduction of (III) with H2 over Pd/C in ethanol yields the corresponding aniline (IV), which is treated with HNO2, copper nitrite and cuprous oxide to afford the corresponding phenol (V). The condensation of (V) with (3S,4R)-4-(4-fluorophenyl)-1-methyl-3-(phenylsulfonyloxymethyl)piperidine (VI) by means of sodium methoxide in methanol gives [14C]-labeled 1-methylparoxetine (VII), which is finally demethylated with vinyl chloroformate and potassium carbonate in dichloroethane.

参考文献No.225579
标题:The synthesis of [14C]-3S,4R-4-(4-fluorophenyl)-3-(3,4-methylenedioxyp henoxymethyl)piperidine hydrochloride (BRL 29060A), and mechanistic studies using carbon-13 labelling
作者:Willcocks, K.; Rustidge, D.C.; Barnes, R.D.; Tidy, D.J.D.
来源:J Label Compd Radiopharm 1993,33(8),783
合成路线图解说明:

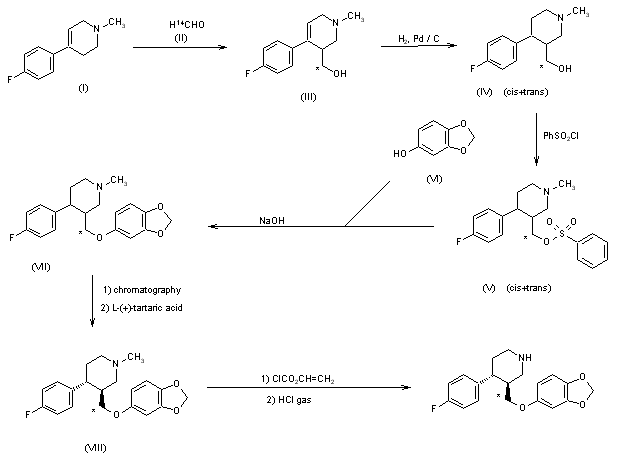
A synthesis of [14C]-paroxetine labeled at the -CH2O- group has been described: 4-(4-Fluorophenyl)-1-methyl-1,2,5,6-tetrahydropyridine (I) is hydroxymethylated with [14C]-formaldehyde (II), yielding 4-(4-fluorophenyl)-1-methyl-1,2,5,6-tetrahydropyridine-3-methanol (III), which is hydrogenated with H2 over Pd/C in ethanol to give 4-(4-fluorophenyl)-1-methylpiperidine-3-methanol (IV) as a mixture of cis- and trans-isomers. The reaction of (IV) with phenylsulfonyl chloride and NaOH in water affords the corresponding sulfonate (V), which is then condensed with 3,4-(methylenedioxy)phenol (VI) by means of NaOH in toluene-4-methyl-2-pentanol, giving 4-(4-fluorophenyl)-1-methyl-3-[3,4-(methylenedioxy)phenoxymethyl]piperi dine (VII). The chromatographic separation of the trans-isomer of (VII), followed by its optical resolution with L-(+)-tartaric acid, affords optically pure (-)-(3S,4R)-N-methylparoxetine (VIII), which is finally demethylated with vinyl chloroformate and dry HCl.

参考文献No.576765
标题:Conversion of L-pyroglutamic acid to 4-alkyl substituted L-prolines. The synthesis of trans-4-cyclohexyl L-proline
作者:Thottathil, J.K.; et al.
来源:J Org Chem 1986,51(16),3140
合成路线图解说明:

The reduction of L-pyroglutamic acid (I) with NaBH4 gives 5(S)-(hydroxymethyl)pyrrolidin-2-one (II), which is cyclized with benzaldehyde (III) by means of p-toluenesulfonic acid yielding the perhydropyrrolooxazolone (IV). The alkylation of (IV) with 2-cyclohexenyl bromide (V) and LDA in THF affords the corresponding cyclohexenyl derivative (VI), which is reduced with LiAlH4 in THF to give 1-benzyl-3(S)-(2-cyclohexenyl)-5(S)-(hydroxymethyl)pyrrolidine (VII). Elimination of the benzyl protecting group of (VII) with H2 over Pd/C yields the pyrrolidine (VIII), which is reprotected with benzyl chloroformate and K2CO3 to afford the carbamate (IX). The oxidation of the carbinol group of (IX) with Jones reagent or oxygen and platinum black gives the protected proline (X), which is finally deprotected with H2 over Pd/C providing the desired intermediate trans-4-cyclohexyl-L-proline (XI).

合成路线图解说明:

The reduction of L-pyroglutamic acid (I) with NaBH4 gives the chiral pyrrolidinone (II), which is cyclized with benzaldehyde (III) by means of Ts-OH in refluxing toluene to yield the N,O-acetal (IV). The reaction of (IV) with isobutyl chloroformate (V) and phenylselanyl chloride by means of LiHMDS in THF affords the selenoester (VI), which is treated directly with H2O2 in dichloromethane to provide the unsaturated bicyclic lactam (VII). The diastereoselective reaction of (VII) with lithium di(4-fuorophenyl)cuprate (VIII) gives the all-trans trisubstituted pyrrolidone (IX). The reduction of the carbonyl group (IX) with BH3 in THF that also causes the cleavage of the C-O bond of the oxazolidinone yields the pyrrolidine methanol derivative (X), which is submitted to ring expansion by treatment with MsCl, DCE and TEA to afford the expected trisubstituted 3-chloropiperidine (XI). The dechlorination of (XI) by means of Bu3SnH and AIBN in refluxing toluene provides the trans-1-benzyl-4-(4-fluorophenyl)piperidine-3-carboxylic acid isobutyl ester (XII), which is reduced with LiAlH4 in THF to furnish the carbinol (XIII). The reaction of (XIII) with Ms-Cl and TEA in dichloromethane gives the corresponding mesylate (XIV), which is condensed with 1,3-benzodioxol-5-ol (XV) by means of sodium isopropoxide in refluxing isopropanol to yield the aryl ether (XVI). Finally, this compound is deprotected by hydrogenation with H2 over Pd/C in methanol to afford the target trans-piperidine derivative.

参考文献No.579511
标题:Synthesis of enatiopure trans-3,4-disubstituted piperidines. An enantiodivergent synthesis of (+)- and (-)-paroxetine
作者:Amat, M.; Bosch, J.; Hidalgo, J.; Cant? M.; P閞ez, M.; Llor, N.; Molins, E.; Miravitlles, C.; Orozco, M.; Luque, J.
来源:J Org Chem 2000,65(10),3074
合成路线图解说明:

The reaction of the chiral oxazolopyridinone (I) with benzyl chloroformate and phenylselenium bromide by means of LHMDS in THF gives the intermediate (II), which is treated with O3 and oxygen to yield the unsaturated ester (III). The condensation of (III) with the arylcopper derivative (IV) in THF affords a mixture of cis- and trans-isomers that are separated by chromatography. The desired trans-isomer (V) is reduced with AlCl3 and LiAlH4 in THF, giving the carbinol (VI), which by elimination of the chiral auxiliary with H2 over Pd(OH)2 in ethyl acetate, followed by protection of the piperidine nitrogen with Boc2O, provides the carbamate (VII). The reaction of (VII) with MsCl in pyridine yields the corresponding mesylate (VIII), which is condensed with 1,3-benzodioxol-5-ol (IX) by means of NaH in refluxing THF to furnish the protected intermediate (X). Finally, this compound is deprotected with TFA in dichloromethane.

参考文献No.589137
标题:Asymmetric synthesis of (-)-paroxetine using PLE hydrolysis
作者:Yu, M.S.; Lantos, I.; Cacchio, T.; Peng, Z.-Q.; Yu, J.
来源:Tetrahedron Lett 2000,41(30),5647
合成路线图解说明:

The condensation of 4-fluorobenzaldehyde (I) with ethyl acetoacetate (II) by means of piperidine, followed by a treatment with hot NaOH and esterification with methanol in acid medium, gives 3-(4-fluorophenyl)glutaric acid dimethyl ester (III), which is stereoselectively hydrolyzed with liver esterase in aqueous acetone, yielding the monoester (IV) with a 95% ee. The selective reduction of the ester group of (IV) with LiH and LiBH4 in THF affords the chiral 5-hydroxypentanoic acid (V), which is esterified with dimethyl sulfate in methanol to the corresponding methyl ester (VI). The reaction of (VI) with MsCl and TEA in toluene gives the mesylate (VII), which is cyclized with benzylamine (VIII) and TEA in toluene, affording the chiral piperidone (IX).The reaction of (IX) with dimethyl carbonate (X) and NaH in hot toluene yields the chiral carboxylate (XI), which is reduced at the carboxylate and ketonic groups with LiAlH4 or BH3 in DMSO, providing the chiral piperidine methanol derivative (XII). The reaction of (XII) with MsCl and TEA in toluene yields the mesylate (XIII), which is condensed with the phenol derivative (XIV) by means of NaH in hot DMF, affording the adduct (XV). Finally, this compound is debenzylated by hydrogenation with H2 over Pd/C. (1,2)

参考文献No.608050
标题:Highly diastereoselective and enantioselective carbon- -carbon bond formations in conjugate additions of lithiated N-boc allylamines to nitroalkenes: Enantioselective synthesis of 3,4- and 3,4,5-substituted piperidines including (-)-paroxetine
作者:Johnson, T.A.; Curtis, M.D.; Beak, P.
来源:J Am Chem Soc 2001,123(5),1004
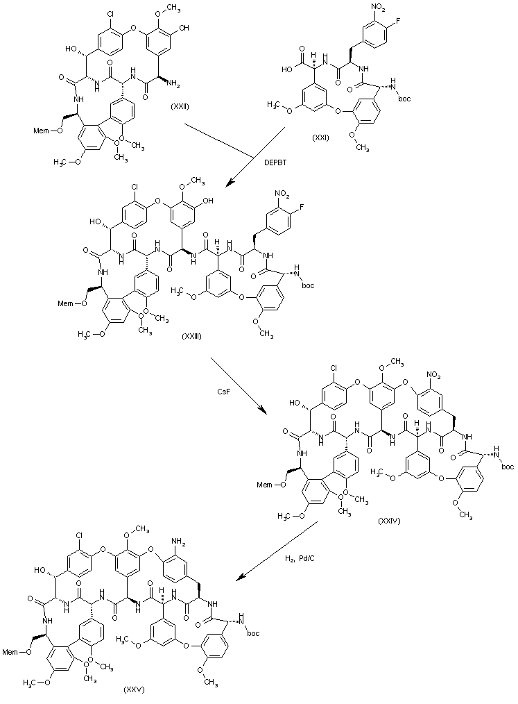
合成路线图解说明:

Assembly of the target compound: The condensation of the carboxylic acid intermediate (XXI) with the free amino group of the intermediate cyclopeptide (XXII) by means of DEPBT gives the corresponding amide (XXIII), which is cyclized by means of CsF in DMSO yielding the macrocyclic ether (XXIV). The reduction of the nitro group of (XXIV) with H2 over Pd/C affords the corresponding amino derivative (XXV).

合成路线图解说明:

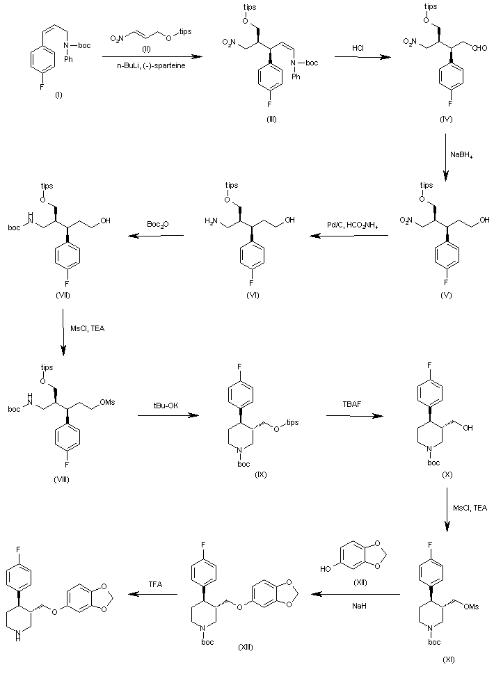
The diastereo- and enantioselective condensation of the protected secondary amine (I) with the nitroalkene (II) by means of BuLi in toluene and in the presence of (-)-sparteine gives the (S,S)-carbamate (III) as a single diastereomer. The hydrolysis of the carbamate (III) with HCl in chloroform yields the aldehyde (IV), which is reduced with NaBH4, affording the alcohol (V). The reduction of the nitro group of (V) with Pd/C and ammonium formate gives the amine (VI), which is protected with Boc2O to provide the carbamate (VII). The reaction of (VII) with MsCl and TEA affords the corresponding mesylate (VIII), which is cyclized by means of potassium tert-butoxide in THF, yielding the protected piperidine (IX). Elimination of the Tips group of (IX) with TBAF affords the carbinol (X), which is treated with MsCl and TEA to give the mesylate (XI). The condensation of (XI) with 1,3-benzodioxol-5-ol (XII) by means of NaH in DMF yields the expected adduct (XIII), which is finally deprotected with TFA to furnish the target chiral compound.

参考文献No.631887
标题:Ring expansion: Formal total synthesis of (-)-paroxetine
作者:Cossy, J.; et al.
来源:Tetrahedron Lett 2001,42(33),5705
合成路线图解说明:

The reduction of L-pyroglutamic acid (I) with NaBH4 gives the chiral pyrrolidinone (II), which is cyclized with benzaldehyde (III) by means of Ts-OH in refluxing toluene to yield the N,O-acetal (IV). The reaction of (IV) with isobutyl chloroformate (V) and phenylselanyl chloride by means of LiHMDS in THF affords the selenoester (VI), which is treated directly with H2O2 in dichloromethane to provide the unsaturated bicyclic lactam (VII). The diastereoselective reaction of (VII) with lithium di(4-fuorophenyl)cuprate (VIII) gives the all-trans trisubstituted pyrrolidone (IX). The reduction of the carbonyl group (IX) with BH3 in THF that also causes the cleavage of the C-O bond of the oxazolidinone yields the pyrrolidine methanol derivative (X), which is submitted to ring expansion by treatment with MsCl, DCE and TEA to afford the expected trisubstituted 3-chloropiperidine (XI). The dechlorination of (XI) by means of Bu3SnH and AIBN in refluxing toluene provides the trans-1-benzyl-4-(4-fluorophenyl)piperidine-3-carboxylic acid isobutyl ester (XII), which is reduced with LiAlH4 in THF to furnish the carbinol (XIII). The reaction of (XIII) with Ms-Cl and TEA in dichloromethane gives the corresponding mesylate (XIV), which is condensed with 1,3-benzodioxol-5-ol (XV) by means of sodium isopropoxide in refluxing isopropanol to yield the aryl ether (XVI). Finally, this compound is deprotected by hydrogenation with H2 over Pd/C in methanol to afford the target trans-piperidine derivative.

参考文献No.641946
标题:A short formal synthesis of paroxetine. Diastereoselective cuprate addition to a chiral racemic olefinic amido ester
作者:Cossy, J.; et al.
来源:Tetrahedron Lett 2001,42(44),7805
合成路线图解说明:

The condensation of 1-(tert-butoxycarbonyl)piperidin-2-one (I) with methyl chloroformate (II) by means of LHMDS in THF gives 1-(tert-butoxycarbonyl)-2-oxopiperidine-3-carboxylic acid methyl ester (III), which is transesterified with the chiral auxiliary (IV) by means of DMAP in refluxing toluene to yield the shielded ester (V). The reaction of (V) with phenylselanyl chloride and NaH in THF/HMPA affords the selenide (VI), which is treated with H2O2 to produce an oxidative deselenation to afford the unsaturated ester (VII). The addition of lithium di(4-fluorophenyl)cuprate (VIII) to the asymmetric olefinic amidoester (VII) leads to the addition product (IX). Finally, the reductive cleavage of the chiral auxiliary by reduction with LiAlH4 in refluxing THF produces the simultaneous reduction of the tert-butoxycarbonyl group to afford the target intermediate, the (3S,4R)-4-(4-fluorophenyl-3-(hydroxymethyl)-1-methylpiperidine (X) (see scheme no. 10786004a, intermediate (V)).

参考文献No.671903
标题:Enzymatic resolution of trans-4-(4'-fluorophenyl)-3-hydroxymethylpiperidines, key intermediates in the synthesis of (-)-paroxetine
作者:De Gonzalo, G.; Brieva, R.; Sanchez, V.M.; Bayod, M.; Gotor, V.
来源:J Org Chem 2001,66(26),8947
合成路线图解说明:

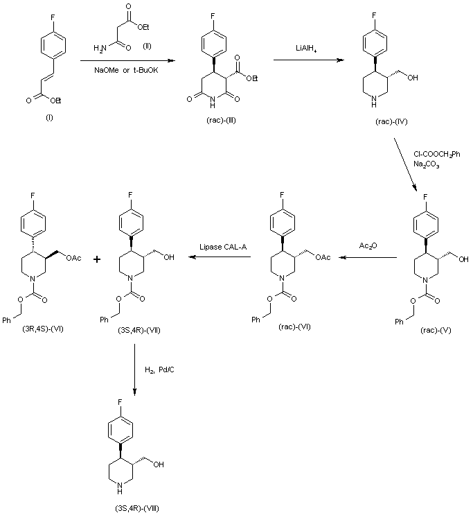
The cyclization of 4-fluorocinnamic acid ethyl ester (I) with malonic acid diethyl ester (II) by means of NaOMe or t-Bu-OK in THF or ethyl acetate gives (rac)-(trans)-4-(4-fluorophenyl)2,6-dioxopiperidine-3-carboxylic acid ethyl ester (III), which is reduced with LiAlH4 in THF to yield the piperidine methanol (rac)-(trans)-(IV). The protection of the NH group of (IV) with benzyl chloroformate and Na2CO3 in dichloromethane affords the benzyl carbamate (rac)-(trans)-(V), which is acylated with Ac2O and pyridine to provide the acetoxy compound (rac)-(trans)-(VI). The biological optical resolution of (rac)-(trans)-(VI) by means of Lipase CAL-A in hexane gives an easily separable mixture of the unreacted ester (3R,4S)-(trans)-(VI) and the hydrolyzed carbinol (3S,4R)-(VII). Finally, this compound is deprotected by hydrogenation with H2 over Pd/C in ethanol to yield the target intermediate, the (3S,4R)-(trans)-4-(4-fluorophenyl)piperidine-3-methanol (3S,4R)-(trans)-(VIII).

参考文献No.803934
标题:ASsymetric syntheses of trans-3,4-disubstituted 2-piperidinones and piperidines
作者:Liu, L.T.; Hong, P.-C.; Huang, H.-L.; Chen, S.-F.; Wang, C.-L. J.; Wen, Y.-S.
来源:Tetrahedron Asymmetry 2001,12(Suppl. 3),419-26
合成路线图解说明:

The reduction of L-pyroglutamic acid (I) with NaBH4 gives the chiral pyrrolidinone (II), which is cyclized with benzaldehyde (III) by means of Ts-OH in refluxing toluene to yield the N,O-acetal (IV). The reaction of (IV) with isobutyl chloroformate (V) and phenylselanyl chloride by means of LiHMDS in THF affords the selenoester (VI), which is treated directly with H2O2 in dichloromethane to provide the unsaturated bicyclic lactam (VII). The diastereoselective reaction of (VII) with lithium di(4-fuorophenyl)cuprate (VIII) gives the all-trans trisubstituted pyrrolidone (IX). The reduction of the carbonyl group (IX) with BH3 in THF that also causes the cleavage of the C-O bond of the oxazolidinone yields the pyrrolidine methanol derivative (X), which is submitted to ring expansion by treatment with MsCl, DCE and TEA to afford the expected trisubstituted 3-chloropiperidine (XI). The dechlorination of (XI) by means of Bu3SnH and AIBN in refluxing toluene provides the trans-1-benzyl-4-(4-fluorophenyl)piperidine-3-carboxylic acid isobutyl ester (XII), which is reduced with LiAlH4 in THF to furnish the carbinol (XIII). The reaction of (XIII) with Ms-Cl and TEA in dichloromethane gives the corresponding mesylate (XIV), which is condensed with 1,3-benzodioxol-5-ol (XV) by means of sodium isopropoxide in refluxing isopropanol to yield the aryl ether (XVI). Finally, this compound is deprotected by hydrogenation with H2 over Pd/C in methanol to afford the target trans-piperidine derivative.

参考文献No.900163
标题:Process for the preparation of aryl-piperidine carbinols
作者:Ali, F.E.; Thomas, M.R. (Beecham Group PLC)
来源:EP 0223334
合成路线图解说明:

The cyclization of 4-fluorocinnamic acid ethyl ester (I) with malonic acid diethyl ester (II) by means of NaOMe or t-Bu-OK in THF or ethyl acetate gives (rac)-(trans)-4-(4-fluorophenyl)2,6-dioxopiperidine-3-carboxylic acid ethyl ester (III), which is reduced with LiAlH4 in THF to yield the piperidine methanol (rac)-(trans)-(IV). The protection of the NH group of (IV) with benzyl chloroformate and Na2CO3 in dichloromethane affords the benzyl carbamate (rac)-(trans)-(V), which is acylated with Ac2O and pyridine to provide the acetoxy compound (rac)-(trans)-(VI). The biological optical resolution of (rac)-(trans)-(VI) by means of Lipase CAL-A in hexane gives an easily separable mixture of the unreacted ester (3R,4S)-(trans)-(VI) and the hydrolyzed carbinol (3S,4R)-(VII). Finally, this compound is deprotected by hydrogenation with H2 over Pd/C in ethanol to yield the target intermediate, the (3S,4R)-(trans)-4-(4-fluorophenyl)piperidine-3-methanol (3S,4R)-(trans)-(VIII).

Drug Information Express,Drug R&D,Chemical Database,Patent Search.
Copyright © 2006-2026 Drug Future. All rights reserved.Contact Us