【药物名称】Rolipram, ME-3167, ZK-62711, Adeo
化学结构式(Chemical Structure):
参考文献No.62379
标题:ROLIPRAM < Rec INN; USAN >
作者:Crossland, J.; Prous, J.; Casta馿r, J.
来源:Drugs Fut 1988,13(1),38
合成路线图解说明:

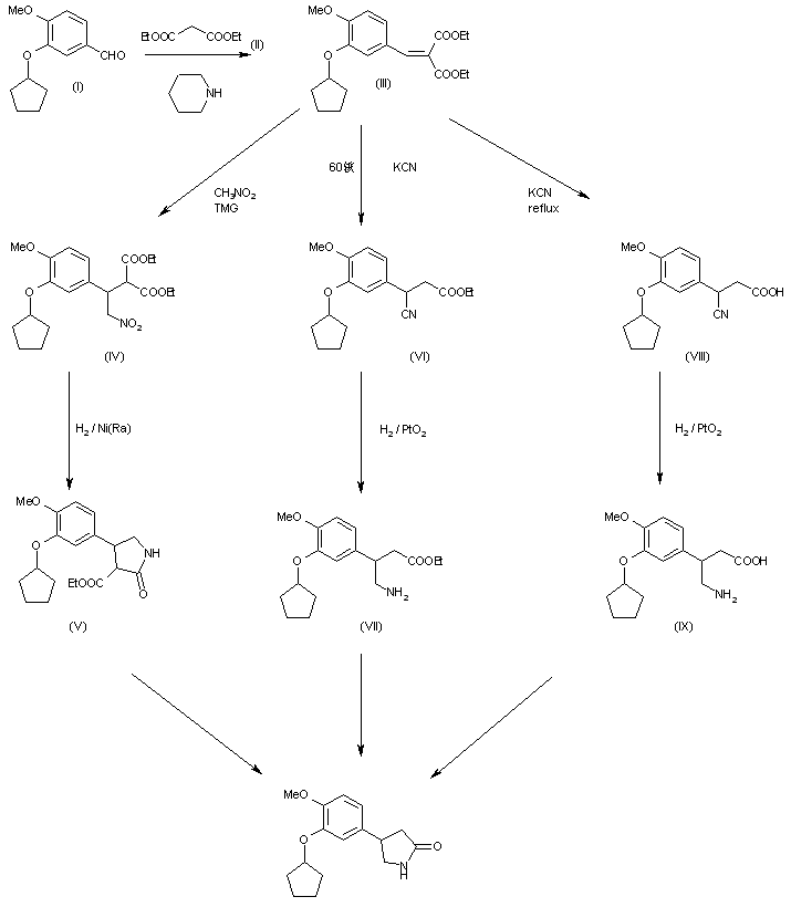
This compound can be obtained by three related ways: 1) The condensation of 3-cyclopentyloxy-4-methoxybenzaldehyde (I) with diethyl malonate (II) by means of piperidine in refluxing acetic acid gives diethyl 3-cyclopentyloxy-4-methoxybenzylidenemalonate (III), which is treated with nitromethane and tetramethylguanidine (TMG) yielding diethyl 2-[1-(3-cyclopentyloxy-4-methoxyphenyl)-2-nitroethyl]malonate (IV). The reductocyclization of (IV) with H2 over Raney Ni in hot methanol gives ethyl 4-(3-cyclopentyloxy-4-methoxyphenyl)-2-oxopyrrolidine-3-carboxylat (V). Finally, this compound is hydrolyzed and decarboxylated. 2) The reaction of malonate (III) with KCN in ethanol at 60 C gives ethyl 3-cyano-3-(3-cyclopentyloxy-4-methoxyphenyl)propionate (VI), which is reduced with H2 over PtO2 in acetic acid yielding ethyl 4-amino-3-(3-cyclopentyloxy-4-methoxyphenyl)butanoate (VII). Finally, this compound is hydrolyzed and cyclized. 3) The reaction of malonate (III) with KNC in refluxing ethanol gives 3-cyano-3-(3-cyclopentyloxy-4-methoxy)propanoic acid (VIII), which is reduced with H2 over PtO2 as before yielding 4-amino-3-(3-cyclopentyloxy-4-methoxyphenyl)butanoic acid (IX). Finally, this compound is cyclized.

参考文献No.187133
标题:Enantioselective synthesis of the antidepressant rolipram by Michael addition to a nitroolefin
作者:Schmiechen, R.; Mulzer, J.; Zuhse, R.
来源:Angew Chem. Int Ed Engl 1992,31(7),870
合成路线图解说明:

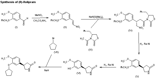
The enantioselective synthesis of the (R)-enantiomer of rolipram, which is the most active, has been published: The reaction of 3-benzyloxy-4-methoxybenzaldehyde (I) with nitromethane by means of ammonium acetate in refluxing acetic acid gives 3-benzyloxy-4-methoxy-beta-nitrostyrene (II), which is condensed with the chiral oxazolidinone (R)-3-acetyl-4-benzyl-2-oxazolidinone (III) by means of sodium bis(trimethylsilyl)amine in THF yielding 4(R)-benzyl-3-[3(R)-(3-benzyloxy-4-methoxyphenyl)-4-nitrobutyryl]-2-oxa zolidinone (IV). Hydrogenation of (IV) with H2 over Raney Ni in ethanol - ethyl acetate affords 4(R)-(3-hydroxy-4-methoxyphenyl)-2-pyrrolidinone (VI) through the intermediate benzyl ether (V). Finally, compound (VI) is etherified with cyclopentyl bromide (VII) by means of NaH in refluxing THF.

参考文献No.232816
标题:The synthesis of aracemic 4-substituted pyrrolidinones and 3-substituted pyrrolidines. An asymmetric synthesis of (-)-rolipram
作者:Meyers, A.I.; Snyder, L.
来源:J Org Chem 1993,58(1),36
合成路线图解说明:

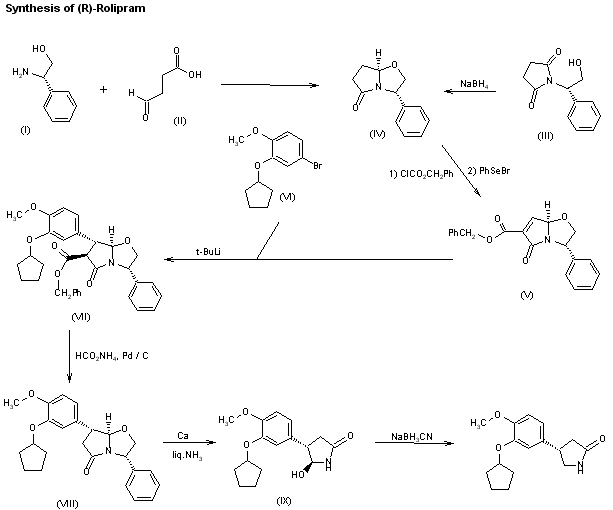
A new synthesis for (-)-(R)-rolipram has been described: The cyclization of (S)-2-hydroxy-1-phenylethylamine (I) with 3-formylpropionic acid (II), or the reductocyclization of N-[2-hydroxy-1(S)-phenylethyl]succinimide (III) with NaBH4, yields the bicyclic amine (IV), which is treated with benzyl chloroformate and phenylselenyl bromide to afford the bicyclic ketoester (V). The stereocontrolled arylation of (V) with 4-bromo-2-(cyclopentyloxy)anisole by means of tert-butyllithium in THF gives the arylated ketoester (VII), which is decarboxylated with ammonium formate and Pd/C in methanol to the bicyclic pyrrolidone (VIII). The ring cleavage of (VIII) with Ca metal in liquid ammonia affords the hydroxypyrrolidone (IX), which is finally reduced with sodium cyanoborohydride in THF-methanol.

参考文献No.900144
标题:4-(Polyalkoxyphenyl)-2-pyrrolidones (II).
作者:Huth, A.; Schmiechen, R.; Kehr, W.; Palenschat, D.; Paschelke, G.; Wachtel, H. (Schering AG)
来源:BE 846335; ES 451518; FR 2324299; GB 1563398; US 4153713
合成路线图解说明:

This compound can be obtained by three related ways: 1) The condensation of 3-cyclopentyloxy-4-methoxybenzaldehyde (I) with diethyl malonate (II) by means of piperidine in refluxing acetic acid gives diethyl 3-cyclopentyloxy-4-methoxybenzylidenemalonate (III), which is treated with nitromethane and tetramethylguanidine (TMG) yielding diethyl 2-[1-(3-cyclopentyloxy-4-methoxyphenyl)-2-nitroethyl]malonate (IV). The reductocyclization of (IV) with H2 over Raney Ni in hot methanol gives ethyl 4-(3-cyclopentyloxy-4-methoxyphenyl)-2-oxopyrrolidine-3-carboxylat (V). Finally, this compound is hydrolyzed and decarboxylated. 2) The reaction of malonate (III) with KCN in ethanol at 60 C gives ethyl 3-cyano-3-(3-cyclopentyloxy-4-methoxyphenyl)propionate (VI), which is reduced with H2 over PtO2 in acetic acid yielding ethyl 4-amino-3-(3-cyclopentyloxy-4-methoxyphenyl)butanoate (VII). Finally, this compound is hydrolyzed and cyclized. 3) The reaction of malonate (III) with KNC in refluxing ethanol gives 3-cyano-3-(3-cyclopentyloxy-4-methoxy)propanoic acid (VIII), which is reduced with H2 over PtO2 as before yielding 4-amino-3-(3-cyclopentyloxy-4-methoxyphenyl)butanoic acid (IX). Finally, this compound is cyclized.

Drug Information Express,Drug R&D,Chemical Database,Patent Search.
Copyright © 2006-2026 Drug Future. All rights reserved.Contact Us