【药物名称】L-651896
化学结构式(Chemical Structure):
参考文献No.1913
标题:Substd. cinnamyl-2,3-dihydrobenzopyrans and cinnamylphenols useful as anti-inflammatory agents
作者:Chang, M.N.; Hammond, M.I.; Jensen, N.P.; McDonald, J.; Zambias, R.A. (Merck & Co., Inc.)
来源:EP 0143952; ES 8601951; JP 1985097924; US 4537903
合成路线图解说明:

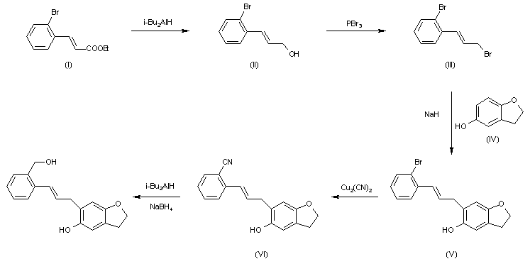
The reduction of ethyl 2-bromocinnamate (I) with diisobutylaluminum hydride in toluene gives 2-bromocinnamyl alcohol (II), which is treated with PBr3 in CCl4 to afford 2-bromocinnamyl bromide (III). The condensation of (III) with 5-hydroxy-2,3-dihydrobenzofuran (IV) by means of NaH in hot benzene affords 6-(2-bromocinnamyl)-5-hydroxy-2,3-dihydrobenzofuran (V), which is treated with Cu2(CN)2 in N-methylpyrrolidone at 175 C to yield 6-(2-cyanocinnamyl)-5-hydroxy-2,3 dihydrobenzofuran (VI). Finally, this compound is reduced with diisobutylaluminum hydride in benzene, and treated with NaBH4 in methanol.

参考文献No.51778
标题:L-651896
作者:Prous, J.; Casta馿r, J.
来源:Drugs Fut 1986,11(11),939
合成路线图解说明:

The reduction of ethyl 2-bromocinnamate (I) with diisobutylaluminum hydride in toluene gives 2-bromocinnamyl alcohol (II), which is treated with PBr3 in CCl4 to afford 2-bromocinnamyl bromide (III). The condensation of (III) with 5-hydroxy-2,3-dihydrobenzofuran (IV) by means of NaH in hot benzene affords 6-(2-bromocinnamyl)-5-hydroxy-2,3-dihydrobenzofuran (V), which is treated with Cu2(CN)2 in N-methylpyrrolidone at 175 C to yield 6-(2-cyanocinnamyl)-5-hydroxy-2,3 dihydrobenzofuran (VI). Finally, this compound is reduced with diisobutylaluminum hydride in benzene, and treated with NaBH4 in methanol.

Drug Information Express,Drug R&D,Chemical Database,Patent Search.
Copyright © 2006-2026 Drug Future. All rights reserved.Contact Us