【药物名称】Imirestat, AL01576, Hoe-843, AL-1576
化学结构式(Chemical Structure):
参考文献No.1506
标题:Spiro-tricycloaromatic succinimide derivs. as inhibitors of aldose reductase
作者:York, B.M. Jr. (Alcon Laboratories, Inc.)
来源:EP 0137333; ES 8800572; ES 8800915; ES 8900214; US 4537892
合成路线图解说明:

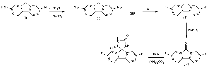
The reaction of 2,7-diaminofluorene (I) with NaNO2 and tetrafluoroboric acid in THF-water gives the bisdiazonium tetrafluoroborate (II), which by decomposition in refluxing xylene yields 2,7-difluorofluorene (III). The oxidation of (III) with KMnO4 in pyridine affords 2,7-difluoro-9-fluorenone (IV), which is cyclized with KCN and ammonium carbonate in refluxing ethanol.

参考文献No.9824
标题:Method of inhibiting aldose reductase activity, compsns. therefor and process for preparing spiro-fluorofluoren and spiro-difluorofluoren cpds.
作者:York, B.M. Jr. (Alcon Laboratories, Inc.)
来源:WO 8303543
合成路线图解说明:

The reaction of 2,7-diaminofluorene (I) with NaNO2 and tetrafluoroboric acid in THF-water gives the bisdiazonium tetrafluoroborate (II), which by decomposition in refluxing xylene yields 2,7-difluorofluorene (III). The oxidation of (III) with KMnO4 in pyridine affords 2,7-difluoro-9-fluorenone (IV), which is cyclized with KCN and ammonium carbonate in refluxing ethanol.

参考文献No.76475
标题:IMIRESTAT < Prop INN >
作者:Prous, J.; Casta馿r, J.
来源:Drugs Fut 1989,14(3),226
合成路线图解说明:

The reaction of 2,7-diaminofluorene (I) with NaNO2 and tetrafluoroboric acid in THF-water gives the bisdiazonium tetrafluoroborate (II), which by decomposition in refluxing xylene yields 2,7-difluorofluorene (III). The oxidation of (III) with KMnO4 in pyridine affords 2,7-difluoro-9-fluorenone (IV), which is cyclized with KCN and ammonium carbonate in refluxing ethanol.

Drug Information Express,Drug R&D,Chemical Database,Patent Search.
Copyright © 2006-2026 Drug Future. All rights reserved.Contact Us