【药物名称】MRA-CN, NSC 357704, ADR-489
化学结构式(Chemical Structure):
参考文献No.51770
标题:MRA-CN
作者:Acton, E.M.
来源:Drugs Fut 1985,10(9),750
合成路线图解说明:

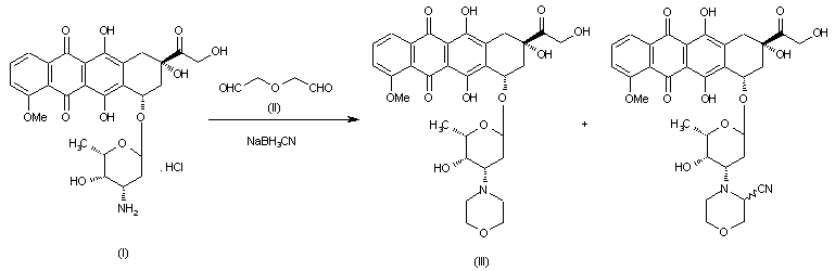
MRA-CN is a byproduct of the synthesis of 3'-deamino-3'-(4-morpholinyl)doxorubicin (III) by the reductive alkylation of doxorubicin (I) with 2,2'-oxybisacetaldehyde (II) and NaBH3CN (I). An iminium intermediate in this process evidenly undergoes nucleophilic attack by cyanide ion present in the reaction mixture, in competition with the normal attack by hydride. Unlike the expected morpholino derivative (III) (and most anthracyclines), MRA-CN is nonbasic. It remains in the organic layer (e.g., chloroform) when the morpholino derivative is extracted with dilute aqueous acid. MRA-CN is then recovered from the organic layer and purified by chromatography on silica gel using gradient elution with dichloromethane-methanol. Yields range from 15% to 40%. MRA-CN does not form an HCl salt.

参考文献No.87761
标题:Intensely potent morpholinyl anthracyclines
作者:Acton, E.M.; et al.
来源:J Med Chem 1984,27(5),638-45
合成路线图解说明:

MRA-CN is a byproduct of the synthesis of 3'-deamino-3'-(4-morpholinyl)doxorubicin (III) by the reductive alkylation of doxorubicin (I) with 2,2'-oxybisacetaldehyde (II) and NaBH3CN (I). An iminium intermediate in this process evidenly undergoes nucleophilic attack by cyanide ion present in the reaction mixture, in competition with the normal attack by hydride. Unlike the expected morpholino derivative (III) (and most anthracyclines), MRA-CN is nonbasic. It remains in the organic layer (e.g., chloroform) when the morpholino derivative is extracted with dilute aqueous acid. MRA-CN is then recovered from the organic layer and purified by chromatography on silica gel using gradient elution with dichloromethane-methanol. Yields range from 15% to 40%. MRA-CN does not form an HCl salt.

Drug Information Express,Drug R&D,Chemical Database,Patent Search.
Copyright © 2006-2026 Drug Future. All rights reserved.Contact Us